Question: fEvaluate the integral below by interpreting y=f(x) it in terms of areas in the figure. A1 The areas of the labeled regions are A3 A1=







![6g(x) - h(x)]dr = -52Let ALE) = f tjdt where f is](https://s3.amazonaws.com/si.experts.images/answers/2024/06/66799917233c9_07966799917109be.jpg)
















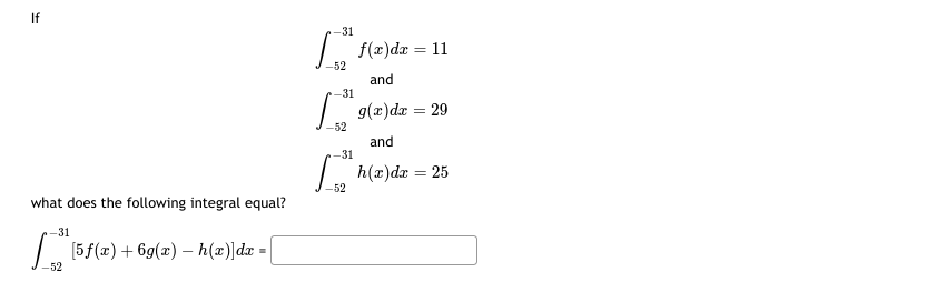
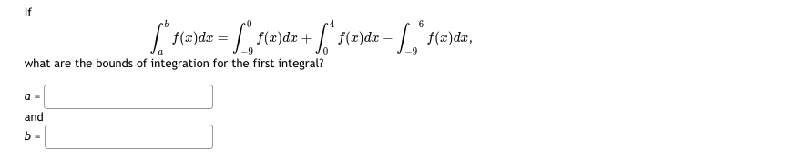
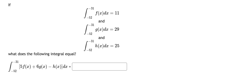
\fEvaluate the integral below by interpreting y=f(x) it in terms of areas in the figure. A1 The areas of the labeled regions are A3 A1= 6, A2-4, A3-2 and A4-2 3 5 A2 7 A4 10 10 V f(x)dx (figure is NOT to scale) 5If what are the bounds of integration for the first integral? and b=\fIf 31 f(x)dx = 11 52 and 31 g(x)dx = 29 52 and 31 h(x)dx = 25 52 what does the following integral equal? 31 [5f(x) + 6g(x) - h(x)]dr = -52Let ALE) = f tjdt where f is the function given by the graph below. 1 Let A(x) = / f(t)dt, with f(x) shown in the graph below. w At what x values does A(x) have a local max: x = At what x values does A(x) have a local min: x = Restrict your answers to values 0
Step by Step Solution
There are 3 Steps involved in it
Get step-by-step solutions from verified subject matter experts
