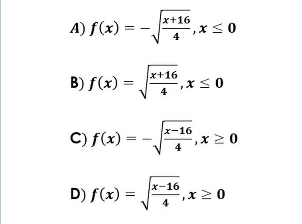
Question: If = [2.06] 16, what is its inverse? O O o
![If = [2.06] 16, what is its inverse? O O o](https://s3.amazonaws.com/si.experts.images/answers/2024/06/66651b286e3db_12066651b2859478.jpg)



If = [2.06] 16, what is its inverse? O O o
Step by Step Solution
There are 3 Steps involved in it
Get step-by-step solutions from verified subject matter experts
