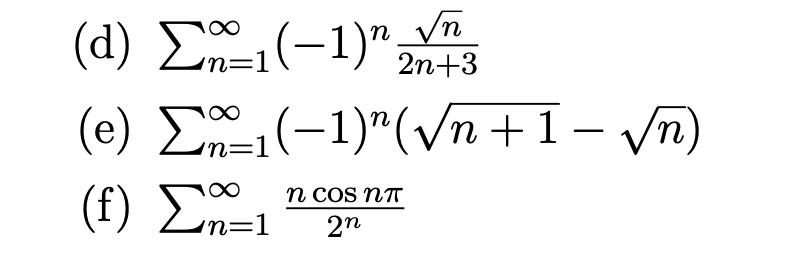
Question: O Determine whether the following series converge or diverge.




O Determine whether the following series converge or diverge.
Step by Step Solution
There are 3 Steps involved in it
Get step-by-step solutions from verified subject matter experts
