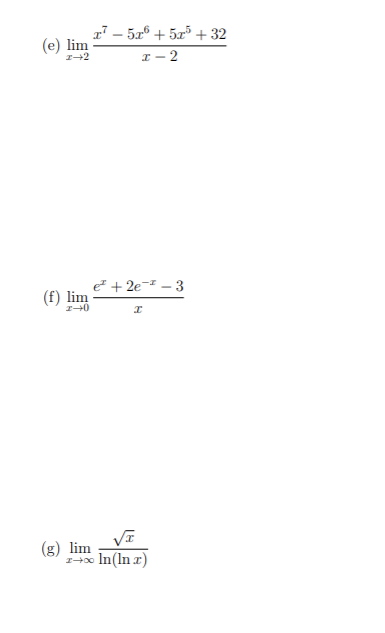
Question: (6) Find the limit using the l'Hospital's rule. (a) lim (b) lim (c) lim (d) lim




(6) Find the limit using the l'Hospital's rule. (a) lim (b) lim (c) lim (d) lim
Step by Step Solution
There are 3 Steps involved in it
Get step-by-step solutions from verified subject matter experts
