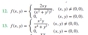
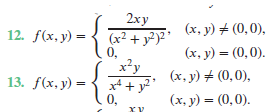
Question: 12. f (x, y) 13. f (x, y) (x2 + y2)2' o, (x. y) (0.0), (x. y) (0.0). x2y (x, y) (O, O), o,




12. f (x, y) 13. f (x, y) (x2 + y2)2' o, (x. y) (0.0), (x. y) (0.0). x2y (x, y) (O, O), o,
Step by Step Solution
There are 3 Steps involved in it
Get step-by-step solutions from verified subject matter experts
