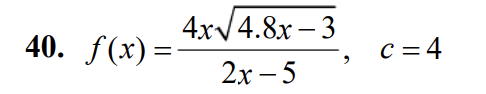
Question: For problems 37 - 44, find f (c). Round answers to four decimal places.






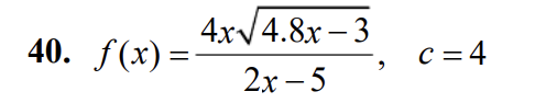
For problems 37 - 44, find f "(c). Round answers to four decimal places.
Step by Step Solution
There are 3 Steps involved in it
Get step-by-step solutions from verified subject matter experts
