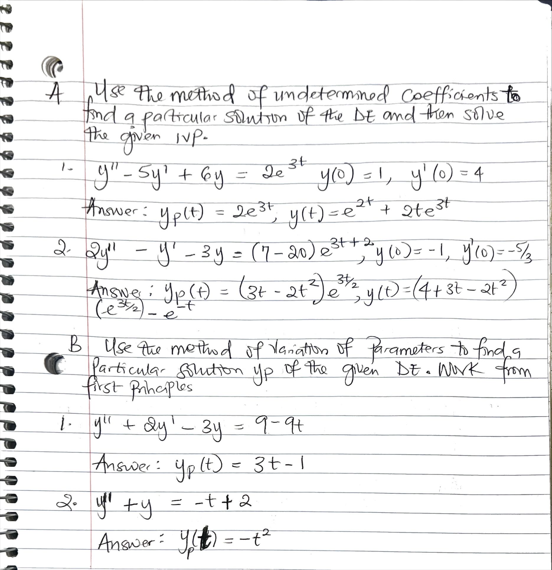
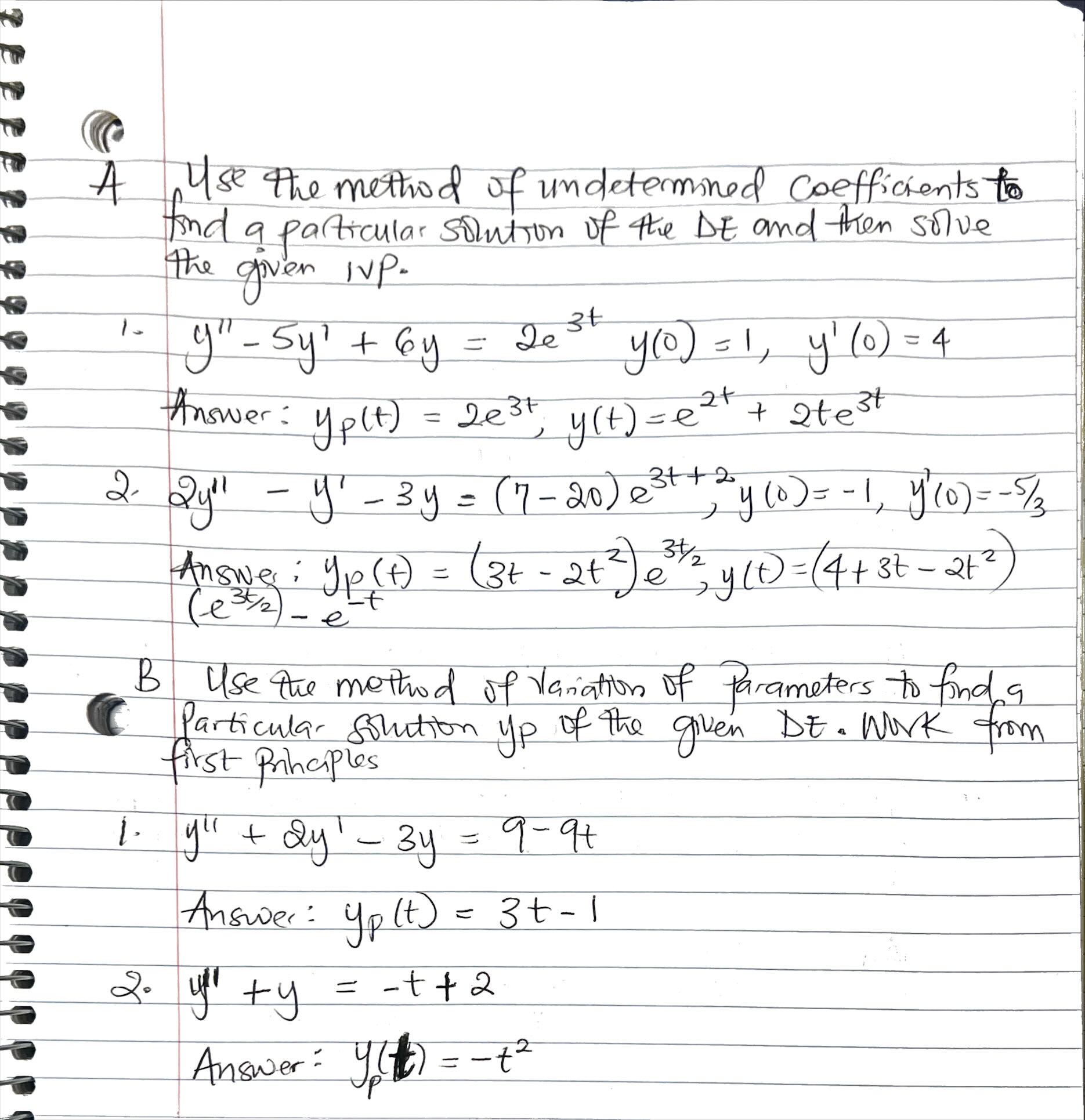
Question: ccdqr (e lcs a rampfrers






ccdqr (e lcs a rampfrers
Step by Step Solution
There are 3 Steps involved in it
Get step-by-step solutions from verified subject matter experts






ccdqr (e lcs a rampfrers
There are 3 Steps involved in it
Get step-by-step solutions from verified subject matter experts