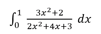
Question: 1 dx 0 2x2+4x+3






1 dx 0 2x2+4x+3
Step by Step Solution
There are 3 Steps involved in it
Get step-by-step solutions from verified subject matter experts






1 dx 0 2x2+4x+3
There are 3 Steps involved in it
Get step-by-step solutions from verified subject matter experts