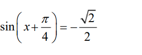
Question: 0 < x < 27T






0 < x < 27T
Step by Step Solution
There are 3 Steps involved in it
Get step-by-step solutions from verified subject matter experts






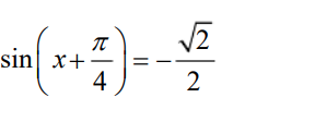
0 < x < 27T
There are 3 Steps involved in it
Get step-by-step solutions from verified subject matter experts