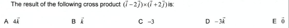
Question: Which relation is INCORECT? A i.j=o ixi=O








Which relation is INCORECT? A i.j=o ixi=O
Step by Step Solution
There are 3 Steps involved in it
Get step-by-step solutions from verified subject matter experts
