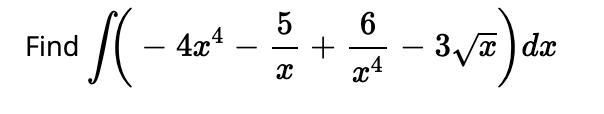
Question: Find












Find
Step by Step Solution
There are 3 Steps involved in it
Get step-by-step solutions from verified subject matter experts












Find
There are 3 Steps involved in it
Get step-by-step solutions from verified subject matter experts