Question: FFFFFF Data Date Data Year - Fiscal Industry Format Populatio n Source Global Company Key 002817 Level of Consolidation - Company Annual Descriptor C Data



FFFFFF
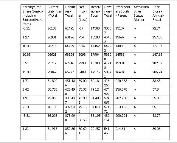
Data Date Data Year - Fiscal Industry Format Populatio n Source Global Company Key 002817 Level of Consolidation - Company Annual Descriptor C Data Form at STD Ticker Symbol INDL D CAT 002817 INDL C D STD CAT 002817 INDL C D STD CAT 002817 INDL D STD CAT 002817 INDL D STD CAT 002817 INDL C D STD CAT 12/31 2016 /2016 12/31 2017 /2017 12/31 2018 /2018 12/31 2019 /2019 12/31 2020 /2020 12/31 | 2021 /2021 12/31 2016 /2016 12/31 2017 /2017 12/31 2018 /2018 12/31 2019 /2019 12/31 2020 /2020 12/31 2021 /2021 184258 INDL C D STD PLOW 184258 INDL C D STD PLOW 184258 INDL C D STD PLOW 184258 INDL C D STD PLOW 184258 INDL C D STD PLOW 184258 INDL C D STD PLOW Cash Adjustment Factor (Company) - Cumulative by Ex- Date 1 ISO Current Currency Assets - Code Total Assets - Total Cash and Short- Term Investments Common Shares Outstanding 74704 7388 USD USD 31967 36244 7168 8261 1 76962 78509 8599 8029 1 USD 38603 7857 1 USD 8284 8372 586.486 597.626 575.543 550.083 545.304 535.888 22.502 1 39193 39464 43455 USD 9502 10348 1 USD USD 1 182.161 18.609 78453 78324 82793 671.89 9 685.17 6 676.19 3 9352 9254 18.60 9 36.87 5 27.82 1 USD 198.113 36.875 22.591 1 USD 199.095 27.82 22.701 1 USD 211.528 35.665 22.795 705.69 5 579.20 35.66 5 41.03 1 USD 217.187 41.03 22.857 N 1 USD 220.431 | 36.96 36.964 22.981 572.47 6 4 Stockhold Active/Ina Price ers Equity ctive Close- - Parent Status Annual - Marker Fiscal 13137 A 92.74 13697 A A 157.58 14039 A 127.07 14588 A 147.68 15331 A 182.02 Earnings Per Current LiabilitNet Receiv Reve Share (Basic) - Liabilities ies- Incomables- nue - Including - Total Total e Total Total Extraordinary (Loss) Items -0.11 26132 61491 -67 14503 3853 7 1.27 26931 63196 754 16193 4546 2 10.39 28218 64429 6147 17452 5472 2 10.85 26621 63824 6093 17904 5380 0 5.51 25717 62946 2998 16780 4174 8 11.93 29847 66277 6489 17375 5097 1 1.71 51.392 451.43 39.00 80.13 416. 6 2.42 80.783 428.49 | 55.32 79.12 474. 8 4 927 1.91 79.068 393.43 43.90 81.485 524. 7 5 067 2.13 78.103 392.53 49.16 87.871 571. 2 6 71 -3.81 66.206 378.99 83.195480 8 86.55 154 3 1.31 81.916 357.86 30.69 72.257541. 6 1 453 16484 A 206.74 220.463 A 33.65 268 256.678 A A 37.8 00 282.756 A 35.89 313.163 A 55 00 N 200.204 A 42.77 214.61 A 39.06 Table 1 Liquidity, financial leverage and asset utilization ratios for Caterpillar (CAT) and Do uglas Dynamics, Inc. (PLOW) CAT PLOW Fiscal Quick Ratio Quick Ratio Year CAT Cash Ratio CAT PLOW PLOW Debt-to- Debt-to- Cash Ratio Equity Ratio EquityRatio (x) CAT PLOW Days in Days in Receivables Receivables (days) (days) CAT ROA PLOW ROA (%) 2016 2017 2018 2019 2020 2021 Table 2 Profitability, and market value ratios for Caterpillar (CAT) and Douglas Dynamics, Inc. (PLOW) Fiscal Year CAT Profit Margin Ratio (%) PLOW Profit Margin Ratio (%) CAT ROE (%) PLOW ROE (%) CAT P/E Ratio PLOW P/E Ratio) CAT Price-to-Sales ratio PLOW Prie-to-Sa les ratio (x) 2016 2017 2018 2019 2020 2021 Data Date Data Year - Fiscal Industry Format Populatio n Source Global Company Key 002817 Level of Consolidation - Company Annual Descriptor C Data Form at STD Ticker Symbol INDL D CAT 002817 INDL C D STD CAT 002817 INDL C D STD CAT 002817 INDL D STD CAT 002817 INDL D STD CAT 002817 INDL C D STD CAT 12/31 2016 /2016 12/31 2017 /2017 12/31 2018 /2018 12/31 2019 /2019 12/31 2020 /2020 12/31 | 2021 /2021 12/31 2016 /2016 12/31 2017 /2017 12/31 2018 /2018 12/31 2019 /2019 12/31 2020 /2020 12/31 2021 /2021 184258 INDL C D STD PLOW 184258 INDL C D STD PLOW 184258 INDL C D STD PLOW 184258 INDL C D STD PLOW 184258 INDL C D STD PLOW 184258 INDL C D STD PLOW Cash Adjustment Factor (Company) - Cumulative by Ex- Date 1 ISO Current Currency Assets - Code Total Assets - Total Cash and Short- Term Investments Common Shares Outstanding 74704 7388 USD USD 31967 36244 7168 8261 1 76962 78509 8599 8029 1 USD 38603 7857 1 USD 8284 8372 586.486 597.626 575.543 550.083 545.304 535.888 22.502 1 39193 39464 43455 USD 9502 10348 1 USD USD 1 182.161 18.609 78453 78324 82793 671.89 9 685.17 6 676.19 3 9352 9254 18.60 9 36.87 5 27.82 1 USD 198.113 36.875 22.591 1 USD 199.095 27.82 22.701 1 USD 211.528 35.665 22.795 705.69 5 579.20 35.66 5 41.03 1 USD 217.187 41.03 22.857 N 1 USD 220.431 | 36.96 36.964 22.981 572.47 6 4 Stockhold Active/Ina Price ers Equity ctive Close- - Parent Status Annual - Marker Fiscal 13137 A 92.74 13697 A A 157.58 14039 A 127.07 14588 A 147.68 15331 A 182.02 Earnings Per Current LiabilitNet Receiv Reve Share (Basic) - Liabilities ies- Incomables- nue - Including - Total Total e Total Total Extraordinary (Loss) Items -0.11 26132 61491 -67 14503 3853 7 1.27 26931 63196 754 16193 4546 2 10.39 28218 64429 6147 17452 5472 2 10.85 26621 63824 6093 17904 5380 0 5.51 25717 62946 2998 16780 4174 8 11.93 29847 66277 6489 17375 5097 1 1.71 51.392 451.43 39.00 80.13 416. 6 2.42 80.783 428.49 | 55.32 79.12 474. 8 4 927 1.91 79.068 393.43 43.90 81.485 524. 7 5 067 2.13 78.103 392.53 49.16 87.871 571. 2 6 71 -3.81 66.206 378.99 83.195480 8 86.55 154 3 1.31 81.916 357.86 30.69 72.257541. 6 1 453 16484 A 206.74 220.463 A 33.65 268 256.678 A A 37.8 00 282.756 A 35.89 313.163 A 55 00 N 200.204 A 42.77 214.61 A 39.06 Table 1 Liquidity, financial leverage and asset utilization ratios for Caterpillar (CAT) and Do uglas Dynamics, Inc. (PLOW) CAT PLOW Fiscal Quick Ratio Quick Ratio Year CAT Cash Ratio CAT PLOW PLOW Debt-to- Debt-to- Cash Ratio Equity Ratio EquityRatio (x) CAT PLOW Days in Days in Receivables Receivables (days) (days) CAT ROA PLOW ROA (%) 2016 2017 2018 2019 2020 2021 Table 2 Profitability, and market value ratios for Caterpillar (CAT) and Douglas Dynamics, Inc. (PLOW) Fiscal Year CAT Profit Margin Ratio (%) PLOW Profit Margin Ratio (%) CAT ROE (%) PLOW ROE (%) CAT P/E Ratio PLOW P/E Ratio) CAT Price-to-Sales ratio PLOW Prie-to-Sa les ratio (x) 2016 2017 2018 2019 2020 2021
Step by Step Solution
There are 3 Steps involved in it
Get step-by-step solutions from verified subject matter experts
