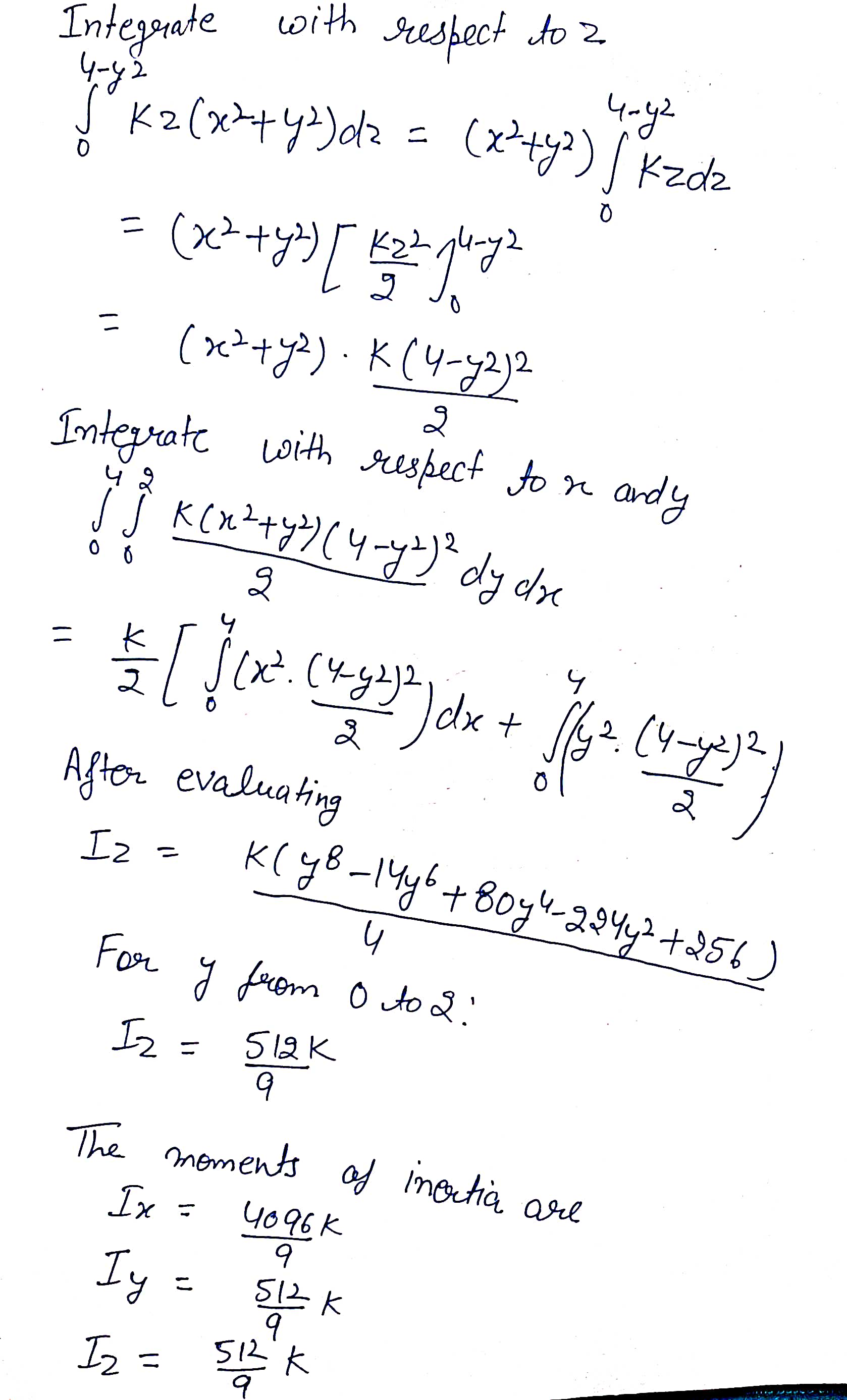
Question: fffffffffffffffffffffffIntegrate with respect to 2 4 - 4 2 4 - 42 K 2 ( x2 + 42) dz = (x ty2 ) / kzdz


























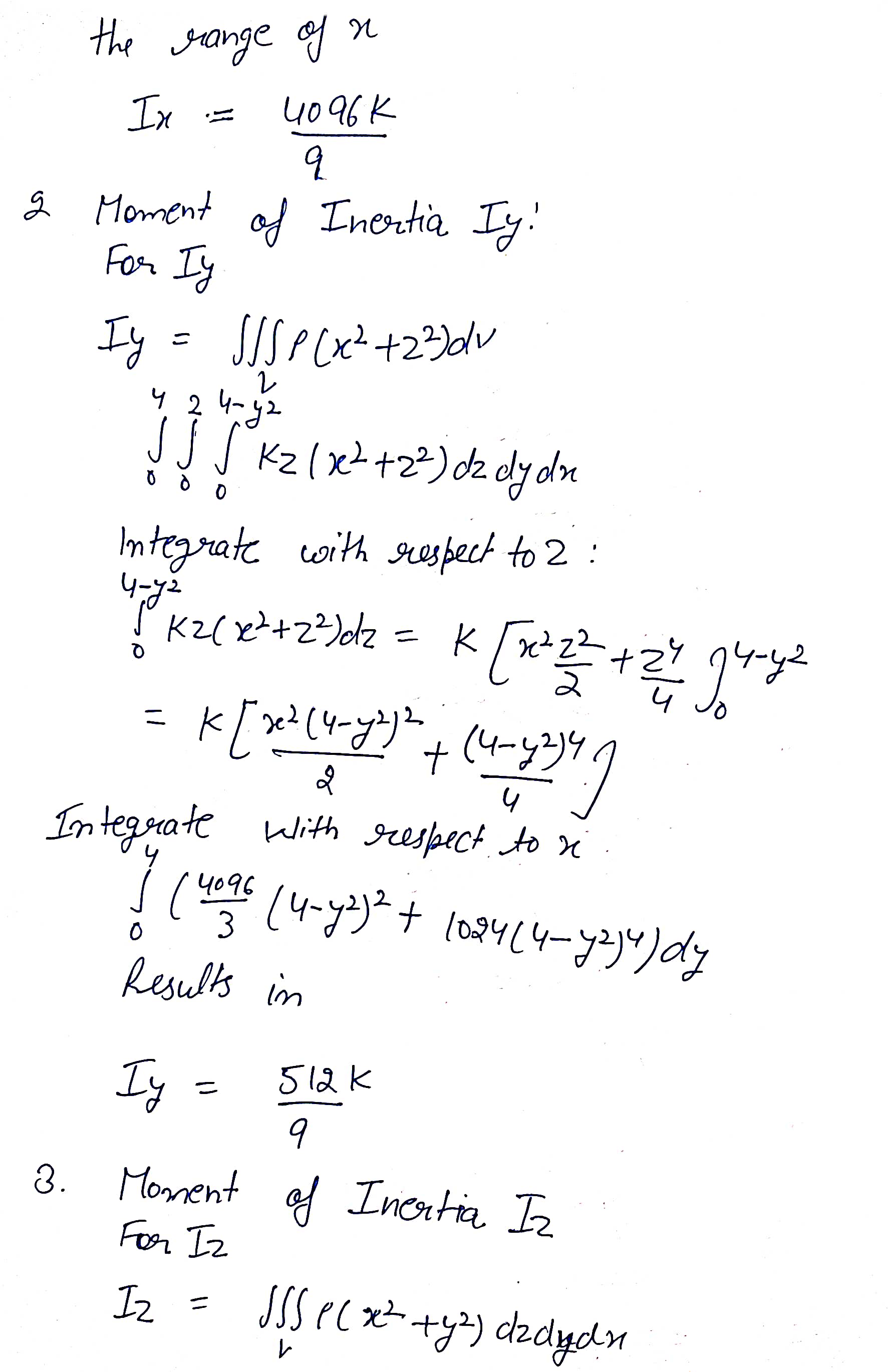
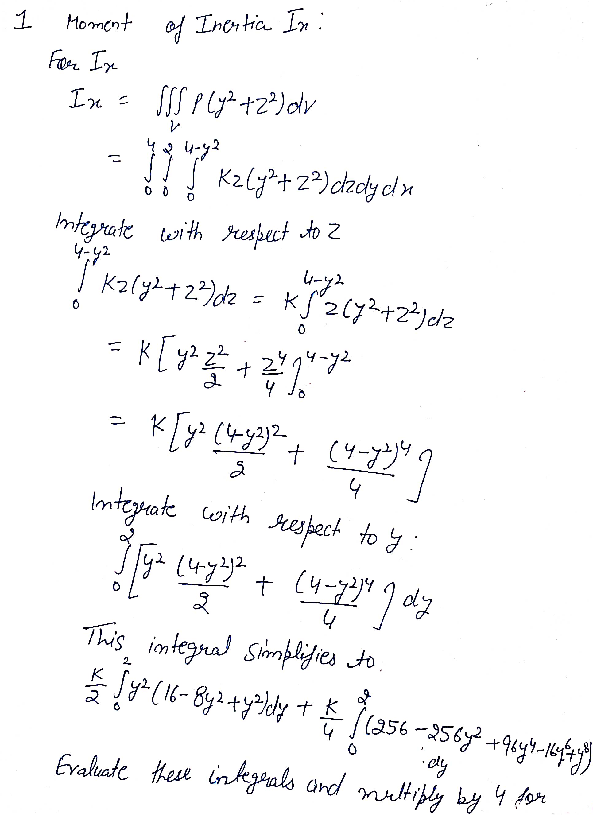
\f\f\f\f\f\f\f\f\f\f\f\f\f\f\f\f\f\f\f\f\f\f\fIntegrate with respect to 2 4 - 4 2 4 - 42 K 2 ( x2 + 42) dz = (x ty2 ) / kzdz 0 = ( xx 2 + 92 ) [ K 2 2 14-y 2 0 = ( x x 2 + 42 ) . K ( 4 - 9 2 ) 2 Integrate with respect to n andy 4 2 K ( x 2 + 42 ) ( 4 - yz ) - dy dre 2 4 = (x2. ( 4- 9212 - ) dx + ly 2. ( 4 - yz ) 2 2 After evaluating I2 = K ( 48 - 14 46 + 804 4- 294 42 + 256 ) For y from O to 2. I2 = 512 k The moments of inertia are Ix = 4096 k 9 Ty = 5 12 K 9 72 = 512 K 9the range of n IX = 4096k 2 Moment of Inertia Iy! For Iy Iy = SJS P ( x 2 + 23)dv 4 2 4 - 4 2 J Kz ( x x 2 + 2 2 ) dz dy dn 0 Integrate with respect to 2 : 4 - 42 J Kz(2)+23)dz = K / x2 22+2% 24-42 2 Jo = K [ze 2 ( 4-42)2 + ( 4- 4 2)49 2 Integrate with respect to n 4096 0 3 ( 4- 4 2 ) 2 + 1024 (4 - yz)4 ) dy Results in Iy = 512 k 9 3. Moment of Inertia Iz For IZ I2 = S SS P ( * * 2 + g2 ) dzdudn1 Moment of Inertia In : For Ix In = SSS P ( y 2 + 2 2 ) dy V 4 2 4- 92 = Kz(y ? + 2 2 ) dz dy dx Integrate with respect to 2 4 - 42 4 - 42 J Kz (y z + 2 3 ) dz = KS z ( 7 2 + 2 2) dz 0 = K [y 2 2 2 + 24 94 -72 4 = K/ yz ( 4 4 2)2 + ( 4 - y z ) 4 9 4 Integrate with respect to y :" 1 1 92 ( 4 7 2)2 + ( 4- yz ) " ) dy 0 4 This integral simplifies to K Sy2 ( 16- 842 +42 ) dy + K i / (256 - 25642 + 964 4 -164 + 9) dy Evaluate these integrals and multiply by 4 for
Step by Step Solution
There are 3 Steps involved in it
Get step-by-step solutions from verified subject matter experts
