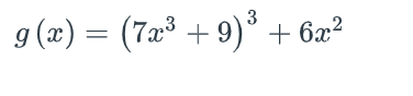
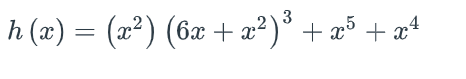
Question: fffg (x ) = 7x + 9 + 672= (a2) (6x + 2 2) 3 + 25 + 24t (ac ) 2 = (5x +1)






Step by Step Solution
There are 3 Steps involved in it
1 Expert Approved Answer
Step: 1 Unlock
Question Has Been Solved by an Expert!
Get step-by-step solutions from verified subject matter experts
Step: 2 Unlock
Step: 3 Unlock
