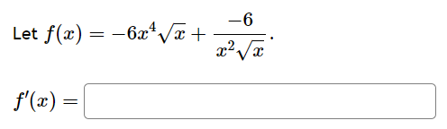
Question: fFind the derivative of: -5vx + Type your answer without fractional or negative exponents. Use sqrt(x) for Vx.-6 Let f(x) = -6x- Va+ 2 2.









![- 5x) . [Hint: expand first.] Now, find the equation of the](https://dsd5zvtm8ll6.cloudfront.net/si.experts.images/questions/2024/10/6703f9bb3b5ba_7876703f9bb23e33.jpg)


\fFind the derivative of: -5vx + Type your answer without fractional or negative exponents. Use sqrt(x) for Vx.-6 Let f(x) = -6x- Va+ 2 2. V f'(x) =if f(z) = 3a\" 4a + 3, find f/(5). Use this to find the equation of the tangent line to the parabola y = 322 4z + 3 at the point (5, 58). The equation of this tangent line can be written in the form y = max + b where m is: and where b is: ' 152 + 2127+ 9 Find the derivative of: 322 Type your answer without negative exponents. Simplify completely. Find the derivative of: (7 - 5x) . [Hint: expand first.] Now, find the equation of the tangent line to the curve at (1, 4). Write your answer in ma + b format y\fTT Find the equation of the tangent line to the curve y = 6 sin x at the point ,3) . The equation of this tangent line can be written in the form y = ma + b where m = and b =Yy Find the equation of the tangent line to the curve y = 4 tan x at the point (E' 4). The equation of this tangent line can be written in the form y = ma + b where m is: | and where b is: : T Find the equation of the tangent line to the curve y = 2sin x at the point (E, 1). The equation of this tangent line can be written in the form y = max + b where m=| | and b = ' ' \f\f
Step by Step Solution
There are 3 Steps involved in it
Get step-by-step solutions from verified subject matter experts
