Question: Week 4 Q&A Problem 1. Two trains are sitting at the station. At noon, Train A leaves the station heading directly north at 80 mph.





![Mean Value Theorem for Integral}; for the function r] = 1:3 332](https://s3.amazonaws.com/si.experts.images/answers/2024/06/6666a94d31c53_0456666a94d22eff.jpg)
![J: + T on the interval [-315]. Problem 3. A solid is](https://s3.amazonaws.com/si.experts.images/answers/2024/06/6666a94d78012_0456666a94d66f0e.jpg)





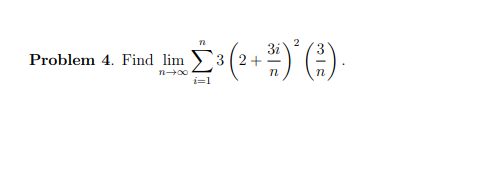
Week 4 Q&A Problem 1. Two trains are sitting at the station. At noon, Train A leaves the station heading directly north at 80 mph. At 2 PM, Train B leaves the station heading directly west at 100 mph. How fast is the distance between the two trains changing at 5 PM?\fProblem 5. Find all 1*: that satisfy the Mean Value Theorem for Integral}; for the function r] = 1:3 332 J: + T on the interval [-315]. Problem 3. A solid is formed by adjoining two hemispheres to the ends of a right circular cylinder. Then total volume of the solid is 14 cubic centimeters. Find the radius of the cylinder that produces the minimum surface area
Step by Step Solution
There are 3 Steps involved in it
Get step-by-step solutions from verified subject matter experts
