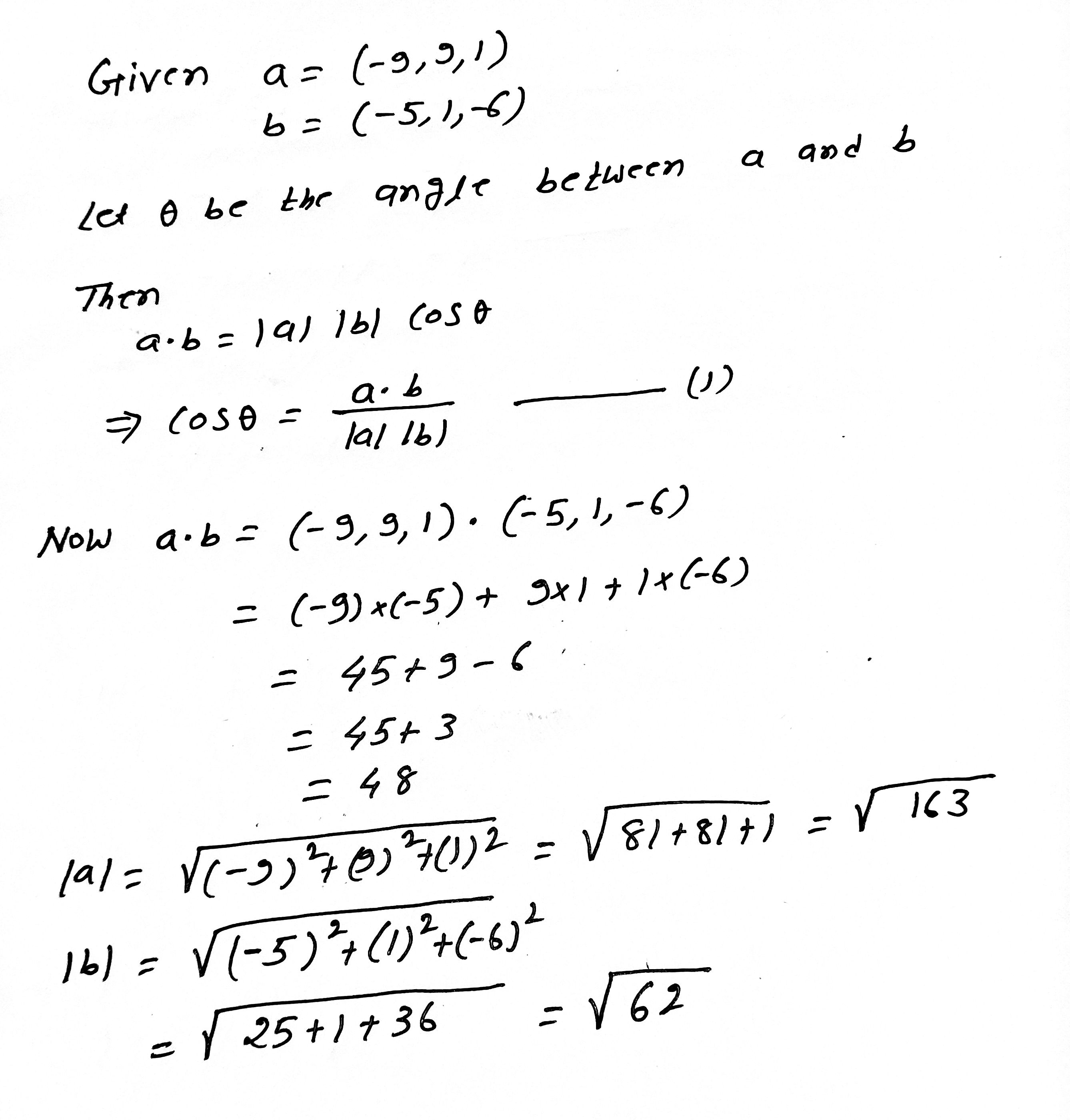
Question: fGiven a= (-9, 9, 1 ) b = ( - 5, 1 ,-6) Let I be the angle between a and b Then a .






\fGiven a= (-9, 9, 1 ) b = ( - 5, 1 ,-6) Let I be the angle between a and b Then a . b = ) allbl coso a . b () ) lal lb ) Now a. b = ( - 9, 9, 1 ). (- 5, 1, - 6) = (- 9) * (-5) + 9x 1 + 1*(-6) = 45+9- 6 = 45+3 =48 1al = V( - 3)27 ()7 (1)2 = V81+81+1 = 1 163 16) = V ( - 5)+ (1)2+(-6)2 = 1 25+1 +36 V 62Now From ( 1 ) COSA = a . b lal 1bl 7 COSO = 48 163 x 162 7 COSO = 48 V 10106 7 0 = (05' ( 48 10106. 3 0 = 1. 07 301642 radans IF you round one decimal place Then O= 1. 1 radian If you round two decimal place 0 = 1 . 07/ radian If you round three decimal place 0 = 1 1 . 073 radian If you round Four decimal Place 1'0730 radian
Step by Step Solution
There are 3 Steps involved in it
Get step-by-step solutions from verified subject matter experts
