Question: Financial Ratio Analysis Question 1-1 I need help with financial ratios. I need to analyze this firm (Bon-Ton) and compare it to Dillards, KOHLs, Macys,
Financial Ratio Analysis Question
1-1 I need help with financial ratios. I need to analyze this firm (Bon-Ton) and compare it to Dillards, KOHLs, Macys, Nordstrom, and Amazon)
I need the following ratios:
- Current ratio
- Quick ratio
- Liabilities to Equity
- Solvency ratio = Total liabilities/Total Stockholders Equity
- Profit Margin (PM)
- Asset Turnover (AT)
- Financial Leverage (FL)
- ROE
1-2 I need to make recommendations regarding stock investments and about the firm's financial performance
1-3 How is Altman's Z-Score used to evaluate a company's performance?
Financial Information:
1. Balance Sheet

2. Stock Price Changes

3. Cash Flow Statement

4. Competitor Company Data (2016/2017) & Altman Z-Score

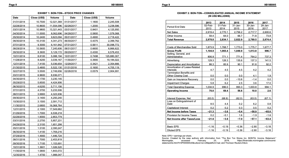
Page 10 9B19B005 Page 11 9B19B005 EXHIBIT 3: BON-TON-CONSOLIDATED ANNUAL BALANCE SHEET (IN US$ MILLIONS) EXHIBIT 3 (CONTINUED) | 2013 02-Feb- 2013 2014 01-Feb- 2014 2015 31-Jan- 2015 2016 30-Jan- 2016 2017 28-Jan- 2017 2013 492.7 2014 413.3 2015 406.5 2016 344.1 2017 368.8 768.9 804.4 851.0 856.01 848.8 7.1 709.7 7.9 758.4 36.0 34.6 836.9 396 735.0 1 59.7 33.7 837.1 1967 711.7 724.51 60.5 68.3 36.7 30.3 815.8 829.7 52.5 821.3 83.6 126.0 0.0 1,523.6 49.0 853.3 51.5 131.1 36.7 793.1 45. 0 896. 0 0.0 193.9 8.7 1,505,1 126.7 982.7 0.0 179.1 9.8 1,515.7 133.9 982.6 0.0 166.0 0.0 104 118.4 714.4 610.2 1,449.3 1,527.8 118.4 690.3 579.4 69.3 120.7 720.3 650.9 60.5 77.5 677.0 683.8 148.8 Period End Date Assets Current Assets Cash and Cash Equivalents Merchandise Inventories Other Receivables Prepaid Expenses Total Current Assets Fixed Assets Land and Improvements Buildings Furniture and Equipment Capital Lease Accumulated Depreciation and Amortization Deferred Taxes Lease-Related Interests Customer Lists and Relationships Accumulated Amortization and Other Intangibles Other Long-Term Assets Trade Name, Net Brands/Patents, Net Total Assets 77.5 673.8 693.8 164.1 Total Current Liabilities Long-Term Debt, Less Current Maturities Long-Term Finance Lease and Hire Purchase Agreement Total Long-Term Debt Employee Defined Benefit Plans Other Long-Term Liabilities, Other Deferred Income Taxes Total Liabilities Shareholders' Equity Common Stock Treasury Stock Additional Paid-In Capital Accumulated Other Comprehensive LOSS Accumulated Deficit Total Equity Total Liabilities and Shareholders' Equity 0.19 0.18 0.19 62.1 0.19 0.19 -1.4 158.7 -1.4 -951.8 -1,024.4 160.8 161.4 164.4 166.9 0.0 -804.6 15.0 94.6 22.9 -865.1 15. 8 91.3 22.9 -910.5 00 0.0 812 22.9 73.0 70.5 22.6 -73.2 26.3 110.6 -50.4 18.8 128.0 -80.4 7.9 -76.1 -52.2 -72.9 -115.6 -22.8 22.6 -622 87.6 34.9 -57.6 -62.1 65.7 1,634.2 1,577.2 1,592.7 1,550.6 1,505.1 17.4 17.4 360 18.9 40.3 10.4 1,634.2 40.3 10.3 1,577.2 40.2 10.3 1,592.7 38.4 10.3 1,550. 6 Source: Created by the case authors with information from The Bon-Ton Stores Inc. BONTO: Balance Sheet," Morningstar accessed February 23, 2018, http://financials.morningstar.com/balance-sheet/bs.html?i-BONTO®ion=usa&culture-en- US&platform sal, and Thomson Reuters Eikon. 9.7 1 ,505.1 185.9 Liabilities Current Liabilities Accounts Payable Other Accrued Expenses Accrued Payroll and Benefits Current Maturities of Long-Term Debt Current Maturities of Capital Lease Deferred Taxes Income Taxes Payable Customer Liabilities 162.8 69.2 28.5 0.0 193.9 130.5 32.4 75.9 3.9 20.3 35.7 0.0 208.9 77.0 28.8 6.8 4.0 0.0 35.1 0.0 200.5 119.7 28.3 7.4 3.8 22.7 30.9 0.0 5.4 0.0 32.8 45.4 0.0 34.5 46.3 Page 8 9B198005 Page 9 9B19B005 EXHIBIT 2: BON-TON-CONSOLIDATED ANNUAL INCOME STATEMENT (IN USS MILLIONS) Volume 2013 2014 02-Feb- 01-Feb- 2013 2014 2.919.41 2.770.11 64.0 2,978.8 2,834,1 Period End Date Net Sales Other Income Total Revenue 2015 31-Jan- 2015 2.756.2 66.7 2,822.9 2016 30-Jan- 2016 2.717.7 2017 28-Jan- 2017 2.600.6 73.8 2,674.4 594 71.8 2,789.5 2.245,508 3.238.586 4,125,950 1.578,068 2,718,422 2,399,762 30.098,772 8,866,622 6,578,453 125,880,307 19,184,022 2,354,666 4.705.119 2,904,991 1.873.9 1,104.9 1.768.7 1,065.4 1.773.0 1,049.9 1,7757 1,013.8 1.677.7 996.7 771.1 128.3 806,8 129.3 88.3 4.7 771.4 135.6 90.1 764.2 137.3 91.8 737.3 141.5 922 859 Costs of Merchandise Sold Gross Profit Selling, General, and Administrative Advertising Depreciation and Amortization Amortization of Lease-Related Interests Termination Benefits and Other Closing Cost Gain on Insurance Recovery Impairment Charges Total Operating Expense Operating Income 4.5 4.5 4.2 0.0 4.1 0.0 0.0 Date 01/31/2014 02/28/2014 03/31/2014 04/30/2014 05/30/2014 06/30/2014 07/31/2014 08/29/2014 09/30/2014 10/31/2014 11/28/2014 12/31/2014 01/30/2015 02/27/2015 03/31/2015 04/30/2015 05/29/2015 06/30/2015 07/31/2015 08/31/2015 09/30/2015 10/30/2015 11/30/2015 12/31/2015 01/29/2016 02/29/2016 03/31/2016 04/29/2016 05/31/2016 06/30/2016 07/29/2016 08/31/2016 09/30/2016 10/31/2016 11/30/2016 12/30/2016 6.21 EXHIBIT 1: BON-TON-STOCK PRICE CHANGES Close (US$) Volume Date Close (USS) 10.7500 12,021,369 01/31/2017 1.1800 10.8600 11.554.095 02/28/2017 1.2000 10.9800 13,321,443 03/31/2017 0.8401 11.0000 8,062695 04/28/2017 0.5800 10 2400 9.823,094 05/31/2017 0.4900 10.3100 4,341,273 06/30/2017 0.4375 9.3000 6161942 07/31/2017 0.5611 10.5600 7,245,606 08/31/2017 0 6600 8.3600 5,129,172 09/29/2017 0.4300 8.8100 5,088,194 10/31/2017 0.7498 8.4200 3,039,167 11/30/2017 0.3900 7.4100 5,036,654 12/29/2017 0.3421 5.4800 5,522,13001/31/2018 0.1600 5.5500 2,749,656 2.749.66 1 02/ 02/28/2018 12 0.0579 6.9600 8.936.071 7.1700 3,230,145 5.8500 4,424,906 4.6200 5.711.156 4.3700 5222 3.9900 4.323.936 3.1400 4,250,240 3.1500 2,591,712 2.6800 16,068.764 2.1000 17,549,682 1.7000 6,538,218 1.9000 2.853 779 2.2700 5,857,231 2.3100 1.651,298 1.5100 2,390,247 1.4100 1.769.216 1.4900 1.446.724 1.7000 2.453,819 1.7100 1.153.691 1.3601 1,026,520 1.5800 1,843,072 1.4700 1988.047 0.0 -10.8 2.5 993.31 56.6 1.034.9 70.0 996.01 69.4 3.6 1.003.8 | 10.0 994.1 2.6 (83.0) (688 (62.0) | (63.0) (67.1) 4.4 08 Interest Expense, Net Loss on Extinguishment of Debt Capitalized Interest Net Income before Taxes Provision for Income Taxes Net Income after Taxes/Loss 0.3 6.2 0.5 -58.9 -1.9 -57.1 0.2 -65.0 -5.4 1.6 -70 -21.6 -63.4 Basic EPS Diluted EPS -1.16 -1.16 -0.19 -0.19 -0.36 -0.36 -2.90 -2.90 -3.18 -3.18 Note EPSemings per share Source Created by the case authors with information from The Bon Ton Stores Inc. BONTO: Income Statement." Morningstar, accessed February 23, 2018 https://financials. momingstar comincome statements.html?t=P0000000&culture en-US&platforms and Thomson Reuters Ekon EXHIBIT 4: BON-TON-CONSOLIDATED ANNUAL CASH FLOW STATEMENT (IN USS MILLIONS) 2015-01 2016-01 2017-01 7 EXHIBIT 5: BON-TON-CONSOLIDATED QUARTERLY INCOME STATEMENT (IN USS MILLIONS, EXCEPT PER-SHARE DATA) Fiscal year ends in January 2017-04 2017-07 2017-10 Revenue 553 525 562 Cast of Revenue 364 325 365 Gross Profit 199 200 197 Operating Expenses Sales, General and Administrative 205 191 203 Other Operating Expenses 23 24 21 Total Operating Expenses 228 215 223 Operating Income -39 -15 - 26 Other Income (Expense) -19 -18 -19 Income before Income Taxes 57 -33 -45 Provision for Income Taxes 0 0 0 Net Income from Continuing Operations -57 -33 -45 Net Income Net Income Available to Common Shareholders -57 -33 -45 -17 4 6 -41 -36 -71 21 1 -12 -20 -6 47 -15 -47 1 8 -57 59 -91 Source: Excerpted from "The Bon Ton Soresine BONTO nome S a nt Morringstar accessed February 23, 2018 htpainancials.momingstar.com income-walemen t OPODOODOUDOtrosen-US platformsal Fiscal year and in January Cash Flows from Operating Acties Depreciation and Amortization Amortization of Debt Discount Premium and issuance Costs Investment Asset Impairment Charges Deferred Income Taxes Stock Based Compensation Inventory Prepaid Expenses Accounts Payable Accrued Liabilities Income Taxes Payable Other Working Capital Other Non-Cash Items Net Cash Provided by Operating Activities Cash Flows from Investing Activities Investments in Property, Plant, and Equipment Property, Plant, and Equipment Reductions Other Investing Charges Net Cash Used for Investing Activities Cash Flows from Financing Activities Short-Term Borrowing Long-Term Debt issued Long-Term Debt Repayment Cash Dividends Paid Other Financing Activities Net Cash Provided by Used for Financing Activities Net Change in Cash Cash at Beginning of Period Cash at End of Period Free Cash Flow Operating Cash Flow Capital Expenditure Free Cash Flow -85 8 5 -55 0 5 -85 2 -55 770 -728 -4 909 -915 -41 -778 40 -22 -5 EXHIBIT 8: COMPETITOR COMPANY DATA (IN USS MILLIONS, FOR FISCAL YEAR ENDING DECEMBER 2016 JANUARY 2017) Amazon Company Inventory Current Assets Total Assets Dillard's Inc. 1.375 1669 1 3,866 KOHL'S Corp. 4.038 5 .076 13,606 Macy's Inc. 5,506 7,652 20,576 Nordstrom Inc. 1,945 3,014 7,698 11,461 45,781 83,420 Current Liability Total Liability 2.714 8.115 5.728 16.326 2.911 6.827 43.816 64.117 2.070 Revenue Gross Profit Operating Profit Net Profit 6.755 2.404 4571 269 19.204 6.939 1.553 673 27,079 10.583 2.039 1.072 14.437 5.269 1.101 600 135,987 6 5.932 4.186 2.371 Source: Created by the case authors with information from Dillard's Inc. DDS: Income Statement Momingstar, passed March 20, 2018 https://financials.morningstar.com income-statements.html?OP000001088culturemen-US&platform sal "Kohl's Corp KKS: Income Statement, Momingstar, accessed March 20, 2018, https://financials.momingstar.com/income statements.html?t=0P00000352&culturemen-US&platform=sal: "Macy's Inc. M: Income Statement," Morningstar, accessed March 20, 2018 https:/financials.mamningstar.com/income statement is.html?t=OP00000246&culture=en-US&platform sal "Nordstrom Inc. JWN: Income Statement," Momingstar, accessed March 20, 2018, htips financials.momingstar.com/income statementis.html?OP000003XP&culture en-US platform sal: Amazon.com Inc. AMZN: Income Statement," Morningstar, accessed March 20, 2018, https://financials.morningstar.com/income statements him?OP00000067&cultureren US&platformsal EXHIBIT 9: Z-SCORE FORMULA FOR NON-MANUFACTURING FIRMS X = (Current Assets - Current Liabilities) - Total Assets X = Retained Eamings - Total Assets X, - Earnings before Interest and Taxes - Total Assets XxBook Value of Equity - Total Liabilities Z-Score Bankruptcy Model: Z = 6.56(X1) + 3.26(X2) + 6.72(X) + 1.05(X4) Zones of Discrimination: Z> 2.9 = Safe Zone; 1.23
Step by Step Solution
There are 3 Steps involved in it
Get step-by-step solutions from verified subject matter experts
