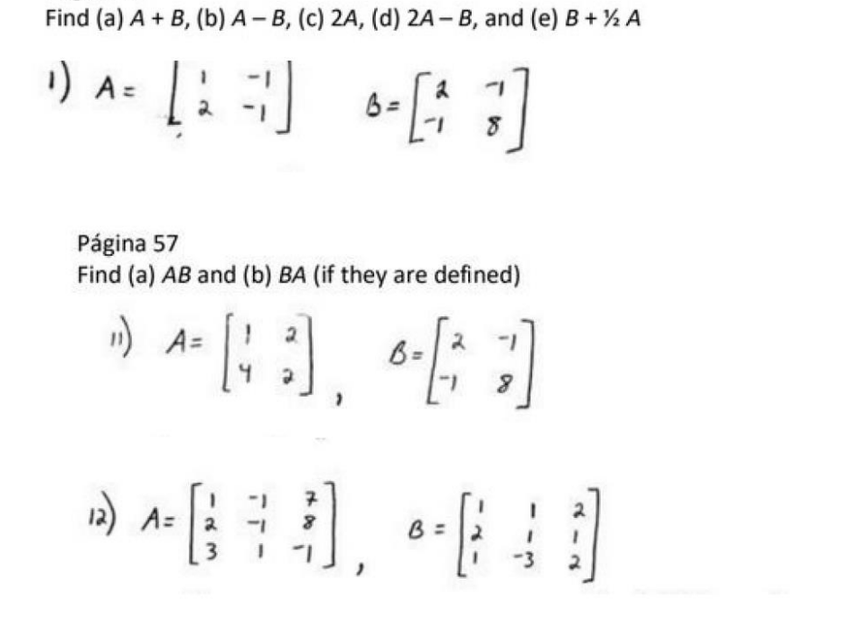
Question: Find (a) A + B, (b) A - B, (c) 2A, (d) 2A - B, and (e) B + 12 A 1) A= 2 Pagina

Find (a) A + B, (b) A - B, (c) 2A, (d) 2A - B, and (e) B + 12 A 1) A= 2 Pagina 57 Find (a) AB and (b) BA (if they are defined) 1) A= B= 12 ) A = 4 = y - y W =
Step by Step Solution
There are 3 Steps involved in it
Get step-by-step solutions from verified subject matter experts
