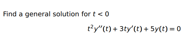
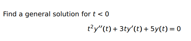
Question: Find a general solution for t Find a general solution for t < O + 3ty'(t) + 5y(t) = O


Find a general solution for t
Find a general solution for t < O + 3ty'(t) + 5y(t) = O
Step by Step Solution
There are 3 Steps involved in it
Get step-by-step solutions from verified subject matter experts
