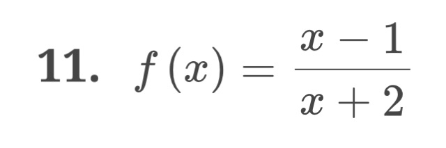
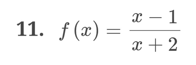
Question: Find a power series representation for the function and determine the interval of convergence - 11. f (x) ac + 2

Find a power series representation for the function and determine the interval of convergence

- 11. f (x) ac + 2
Step by Step Solution
There are 3 Steps involved in it
Get step-by-step solutions from verified subject matter experts
