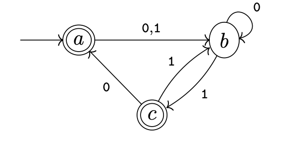
Question: Find a regular expression to describe the language recognized by the machine given below. You must show your work, indicating where you are using Ardens
Find a regular expression to describe the language recognized by the machine given below. You must show your work, indicating where you are using Ardens Rule. Please give clear explanation with proper steps and please give correct answer.

Step by Step Solution
There are 3 Steps involved in it
Get step-by-step solutions from verified subject matter experts
