Question: Find all zeros for the function: h(p)=4p+6p-2. Fully simplify all answers, including non-real zeros. P = Use the graph of the function f(x) =











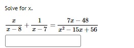
Find all zeros for the function: h(p)=4p+6p-2. Fully simplify all answers, including non-real zeros. P = Use the graph of the function f(x) = ax2 + b + c given below, what can you say about the value of a and the discriminant of the equation ax + bx + c = 0? The value of a... O is greater than 0 O is equal to 0 O is less than 0 The value of the discriminant... O is greater than 0 O is less than 0 O is equal to 0 Use the graph of the function f(x) = ax2 + bx + c given below, what can you say about the value of a and the discriminant of the equation a + bx + c = 0? The value of a... O is equal to 0 O is less than 0 O is greater than 0 The value of the discriminant... O is equal to 0 O is greater than 0 O is less than 0 Use the graph of the function f(x) = ax2 + bx + c given below, what can you say about the value of a and the discriminant of the equation ax + bx + c = 0? The value of a... O is less than 0 O is greater than 0 O is equal to 0 The value of the discriminant... O is equal to 0 O is greater than 0 O is less than 0 Solve: |*52+2|=1 H | Solve: 2x+1+3=2x+5 H= No solution Infinite number of solutions (If there is more than one answer, separate answers by commas.) How many solutions does this system have? Explain how you know. Solve the system of equations by graphing: 12 10 9 7 6 4 3 2 -12-11-10-- 1-1 -2- -3 -5 -6- -7 -8 -10 12- (y=2x+1+3 =2x+5 {y= 2 9 10 11 12 Solve the equation |3x - 3| = | 5x+2| Solve the equation below or type DNE if the solution is not a real number. = -1 H Solve the equation 56x+193-2/13x+42 = 1, Solve: v+50+6=0 Solve the given equation over the real numbers. Use exact values. n+5n+4=0 n Solve for x. I I 8 1 7x-48 + -7 -15x+56
Step by Step Solution
There are 3 Steps involved in it
Get step-by-step solutions from verified subject matter experts
