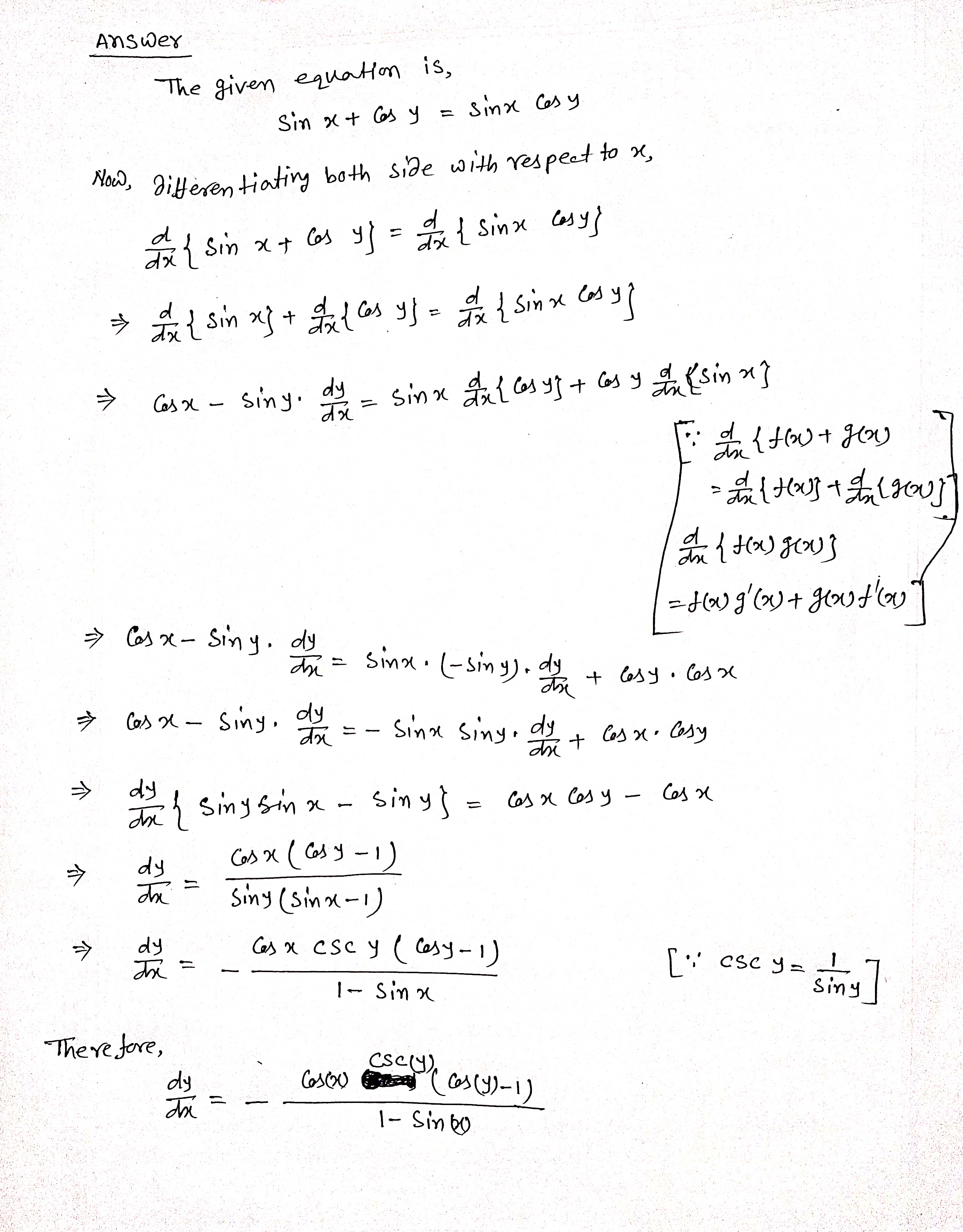
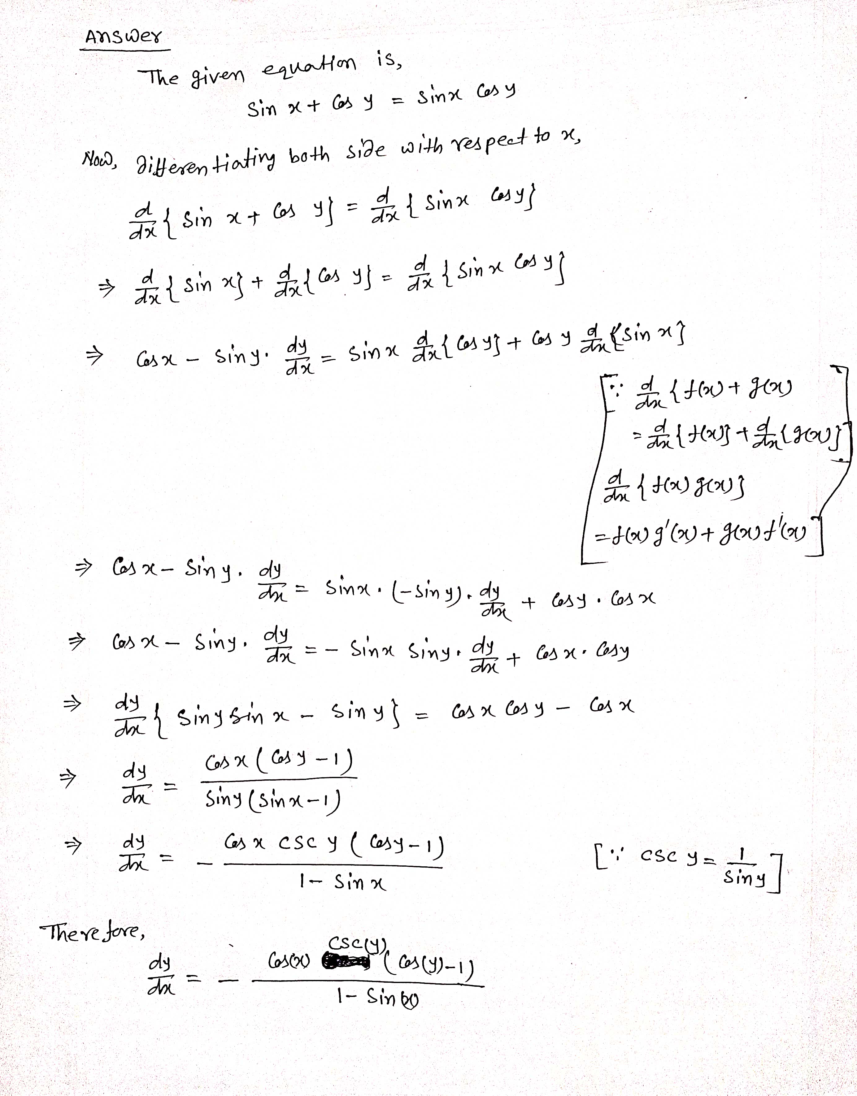
Question: find dy/dx by implicit differentiation. sin x + cos y= sin x cos y. dy/dx=... Answer The given equation is , Sin x + Cosy

find dy/dx by implicit differentiation.
sin x + cos y= sin x cos y. dy/dx=...

Answer The given equation is , Sin x + Cosy = Sink Cosy Now , Differentiating both side with respect to x , a f sin x + cas y j = = ( since cosy] > antsin xj + dallas yj = h sinx cosy] Casx - sing . Ju = Sinx anklesyj + cosy an k sin a ] => Casx - sing. dy an = sink . (- sing). dy + easy. casxx casa - sing , dy ax = - Sing Sing. dy casa . Cosy dy shh singsin x - sings = casa casy - casa dy Cos x ( Cas y - 1 ) sing ( sinx - 1 ) dy Cas x cscy ( Cosy - 1 ) 1 - sinx [: cscy = sing There fore , csc(y) dy (Cos ( y ) - 1 ) 1 - Sin bo
Step by Step Solution
There are 3 Steps involved in it
Get step-by-step solutions from verified subject matter experts
