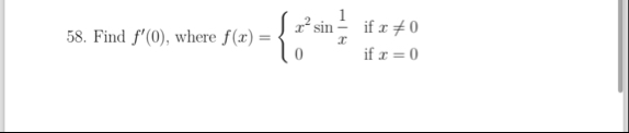
Question: Find f ' ( 0 ) , where f ( x ) = { x 2 s i n ( 1 x ) i f
Find where
Step by Step Solution
There are 3 Steps involved in it
1 Expert Approved Answer
Step: 1 Unlock
Question Has Been Solved by an Expert!
Get step-by-step solutions from verified subject matter experts
Step: 2 Unlock
Step: 3 Unlock
