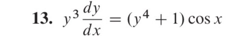
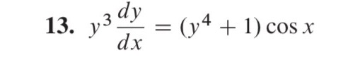
Question: Find general solutions. Implicit if necessary , explicit if convenient. 13. y3dy = (Y 4 + l) cosx

Find general solutions. Implicit if necessary , explicit if convenient.

13. y3dy = (Y 4 + l) cosx
Step by Step Solution
There are 3 Steps involved in it
Get step-by-step solutions from verified subject matter experts
