Question: Find g(t), given g(t) = sin(2t) + e2t+1 12 Find G(x), given G(x) = In2 x - cos2 x da2 3x Find W() (x), given


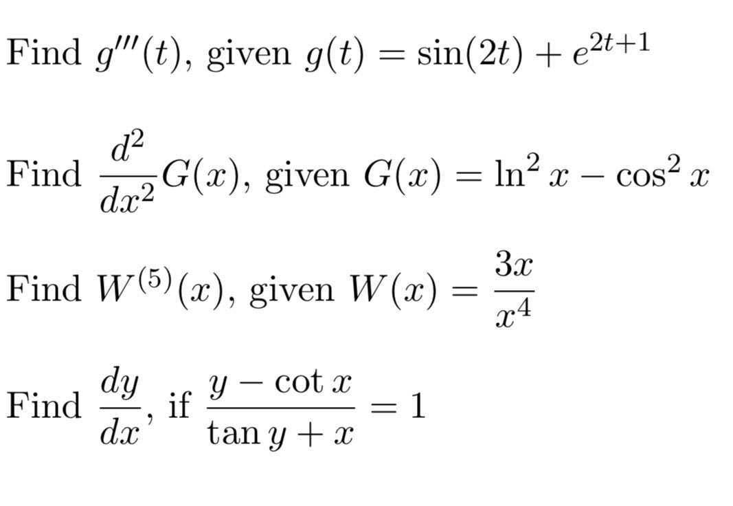
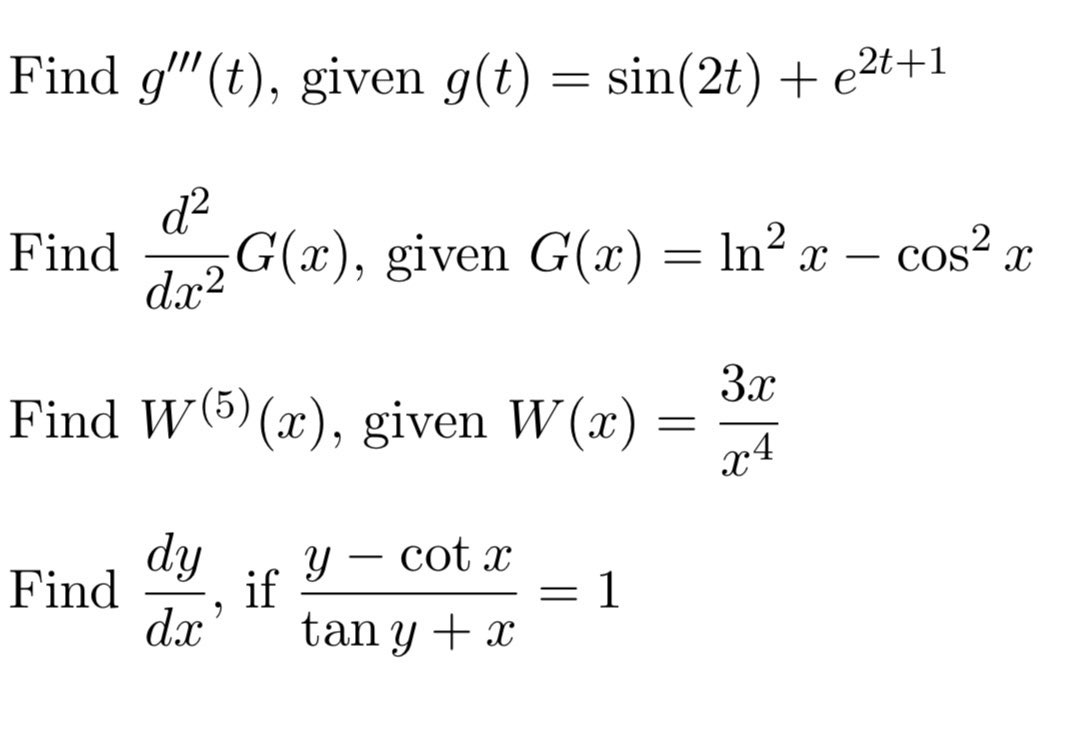
Find g"(t), given g(t) = sin(2t) + e2t+1 12 Find G(x), given G(x) = In2 x - cos2 x da2 3x Find W() (x), given W(x) = dy Find if y - cot x = 1 dx tan y + x
Step by Step Solution
There are 3 Steps involved in it
Get step-by-step solutions from verified subject matter experts
