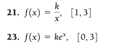
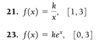
Question: Find k such that each function is a probability density function over the given interval. Then write the probability density function.




Find k such that each function is a probability density function over the given interval. Then write the probability density function.
Step by Step Solution
There are 3 Steps involved in it
Get step-by-step solutions from verified subject matter experts
