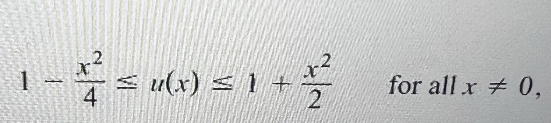
Question: find lim x->0 u(x) 2 X .2 4 SU(x) = 2 for all x * 0 u(x) 1 + x for all x 0,

find lim x->0 u(x)

2 X .2 4 SU(x) = 2 for all x * 0
u(x) 1 + x for all x 0,
Step by Step Solution
There are 3 Steps involved in it
Get step-by-step solutions from verified subject matter experts
