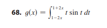
Question: Find the derivative o f the function. g ( x ) = 1 - 2 x 1 + 2 x t s i n t
Find the derivative the function.
Step by Step Solution
There are 3 Steps involved in it
1 Expert Approved Answer
Step: 1 Unlock
Question Has Been Solved by an Expert!
Get step-by-step solutions from verified subject matter experts
Step: 2 Unlock
Step: 3 Unlock
