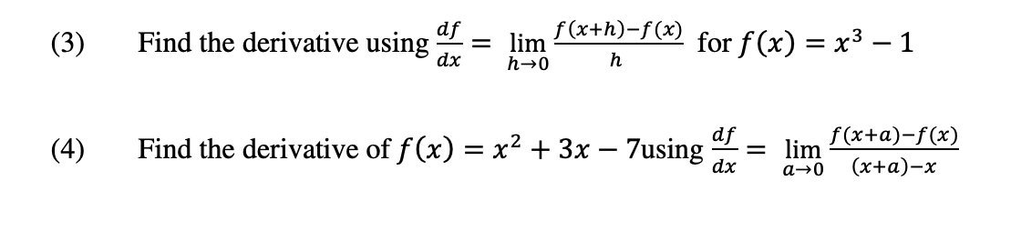
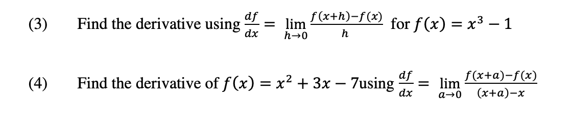
Question: Find the derivative using af = lim f(xth)-f(x) (3) for f (x) = x3 - 1 dx h-0 h af f(x+a)-f(x) (4) Find the derivative


Find the derivative using af = lim f(xth)-f(x) (3) for f (x) = x3 - 1 dx h-0 h af f(x+a)-f(x) (4) Find the derivative of f (x) = x2 + 3x - 7using = lim dx a-0 (xta)-x
Step by Step Solution
There are 3 Steps involved in it
Get step-by-step solutions from verified subject matter experts
