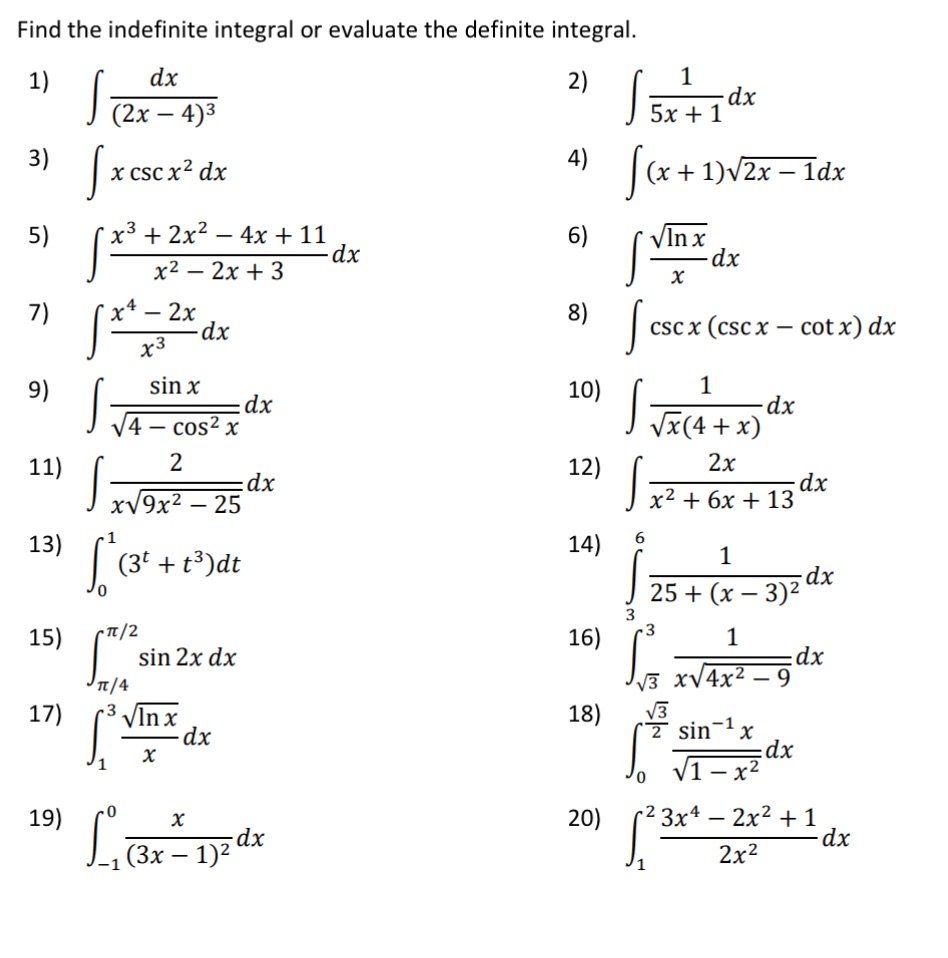
Question: Find the indefinite integral or evaluate the definite integral. 1) 2) 1 dx (2x-4) 5x+1 3) xcscx CS x csc x dx 4) (x

Find the indefinite integral or evaluate the definite integral. 1) 2) 1 dx (2x-4) 5x+1 3) xcscx CS x csc x dx 4) (x + 1)2x 1dx 5) x32x24x + 11 6) ln x dx x - 2x + 3 dx 7) x4 9) x- 2x dx x3 sin x 4- cos x 8) 11) 13) L (3 + t)dt 0 25+ (x 3)2 dx - 3 15) /2 3 16) 1 sin 2x dx dx /4 3 x4x-9 17) 3 Inx 18) 3 dx 2 sinx dx 1 1-x2 19) L (3x = -1)z dx x 20) -23x42x+1 dx 2x2 dx 2 12) dx x9x2-25 S: 2x dx x+6x+13 6 14) 1 10) cs x cscx (cscx-cot x) dx 1 x (4 + x)' dx
Step by Step Solution
There are 3 Steps involved in it
Get step-by-step solutions from verified subject matter experts
