Question: Find the long run behavior of each function as x -> 0 and X->-00 1. f(x) =x 2. f(x) =x 3. f(x) =x 4. f


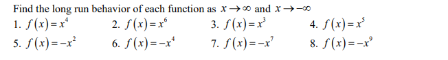
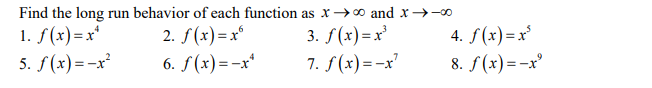
Find the long run behavior of each function as x -> 0 and X->-00 1. f(x) =x 2. f(x) =x 3. f(x) =x 4. f (x) =x 5. f (x) =-x 6. f( x) =-x 7. f (x) =-x 8. f (x) =-x"
Step by Step Solution
There are 3 Steps involved in it
Get step-by-step solutions from verified subject matter experts
