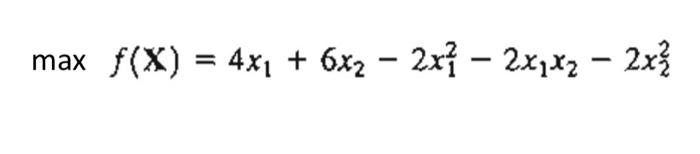
Question: find the optimal solution to the problem unconstrained optimization max f(x) = 4x1 + 6x2 2x 2x2x2 2x
find the optimal solution to the problem
unconstrained optimization
max f(x) = 4x1 + 6x2 2x 2x2x2 2x Step by Step Solution
There are 3 Steps involved in it
1 Expert Approved Answer
Step: 1 Unlock
Question Has Been Solved by an Expert!
Get step-by-step solutions from verified subject matter experts
Step: 2 Unlock
Step: 3 Unlock
