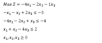
Question: Find the Optimal Solution using Dual Simplex Max Z = - 4x1 - 2x2 - 1xg -*1- xy + 2xS-3 - 4x1 2x2 + x3

Find the Optimal Solution using Dual Simplex
Max Z = - 4x1 - 2x2 - 1xg -*1- xy + 2xS-3 - 4x1 2x2 + x3 = -4 x1 + x2 - 4x3 = 2 X1,42,43 20Step by Step Solution
There are 3 Steps involved in it
1 Expert Approved Answer
Step: 1 Unlock
Question Has Been Solved by an Expert!
Get step-by-step solutions from verified subject matter experts
Step: 2 Unlock
Step: 3 Unlock
