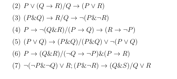
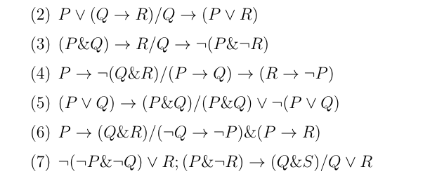
Question: fInstructions: Please complete the following derivations. The rst problem is worth 10 points; the rest are worth 15 points each. Make sure that you remember




\fInstructions: Please complete the following derivations. The rst \"problem\" is worth 10 points; the rest are worth 15 points each. Make sure that you remember to cross oH the \"SHOW\" and insert the vertical lines to indicate what falls underneath it in your proofs. Make sure that you write the line annotation rules on the right hand side of your for- mula. Where there is more than one premise= they are separate by a semi-colon [;) and the prelnise(s) and conclusion are separated by a (f)
Step by Step Solution
There are 3 Steps involved in it
Get step-by-step solutions from verified subject matter experts
