Question: First part is just the example i'm looking at question 1 Example 1: Interpret and solve the initialvalue problem | i f- lth: l 1.211:


First part is just the example i'm looking at question 1


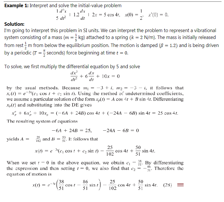
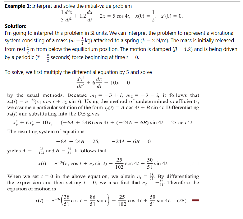
Example 1: Interpret and solve the initialvalue problem | i\" f- lth: l 1.211: | 2_t=5cos4r. .v([|_l= ._ ,r'mjz-[L hil Solution: I'm going to interpret this problem in SI units. We can interpret the problem to represent a vibrational system consisting of a mass [m = g kg] attached to a spring (A: = 2 Wm). The mass is initially released from rest; m from belovvthe equilibrium position. The motion is damped L8 = 1.2) and is being driven by a periodic {T = g seconds) force beginning at time t = I]. To solver we first multiply the differential equation by 5 and solve nix: +6 + 1t] =11} tir2 Jr A by the usual methods. Because on = 23 -l i, \":2 = 3 i, it follows that self] = 93'ic1 cos I + ['2 sin 3"]. Using the method oi' undetermined coefficients, we assume a particular solution or'the form air] = A cos 4: + 3 sin 4:. Differentiating spit] and substituting into the DE gives ,1: + bx; titty. = (A + 248} cos 4r -t- (-2491 5.8} sin 4! = 2.5 oos 41. The resulting system of equations 6A + 24.3 = .45, 24A 63 = yields a = 3;; ands =31: follows that xt'r} .9 3\"(cl eosr + a; sin I) E cos 4r+ +5sin4r. it'll 5 iJv'hen we set .r - it in the above equation. we obtain (:1 By differentiating :j. the expression and then setting r= t}. we also find that r: = '"' .Therefore the equation of motion is 38 it} \"(Icost: illsinrl cos 4r + sin4r [25) .'f = '0 st ,. less 51 Question 1: As in the example above, interpret and solve the initial-value problem: d+2 + 9x = 5 sin 3t, x(0) = 2, x'(0) = 0
Step by Step Solution
There are 3 Steps involved in it
Get step-by-step solutions from verified subject matter experts
