Question: fLet's draw the proper labelled Circuit diagram first V = 60V -total Itotal R , I , ( Junction ) Is WV N Iz R2














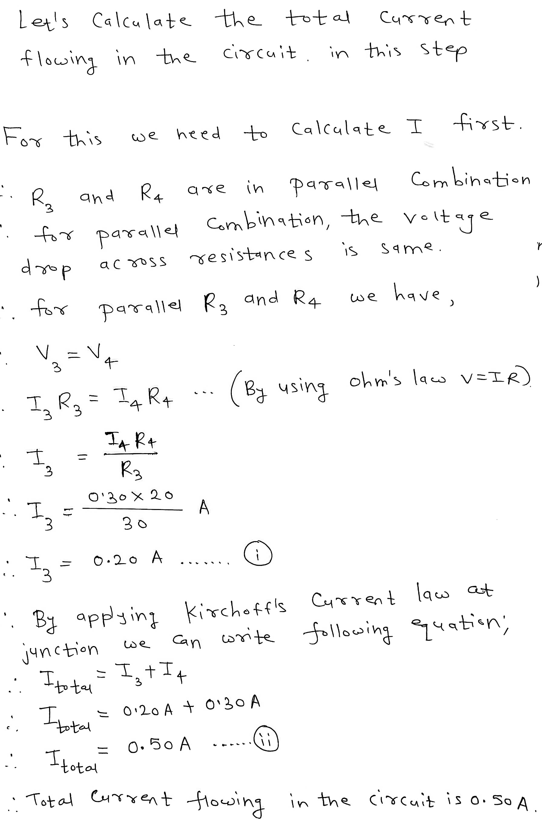
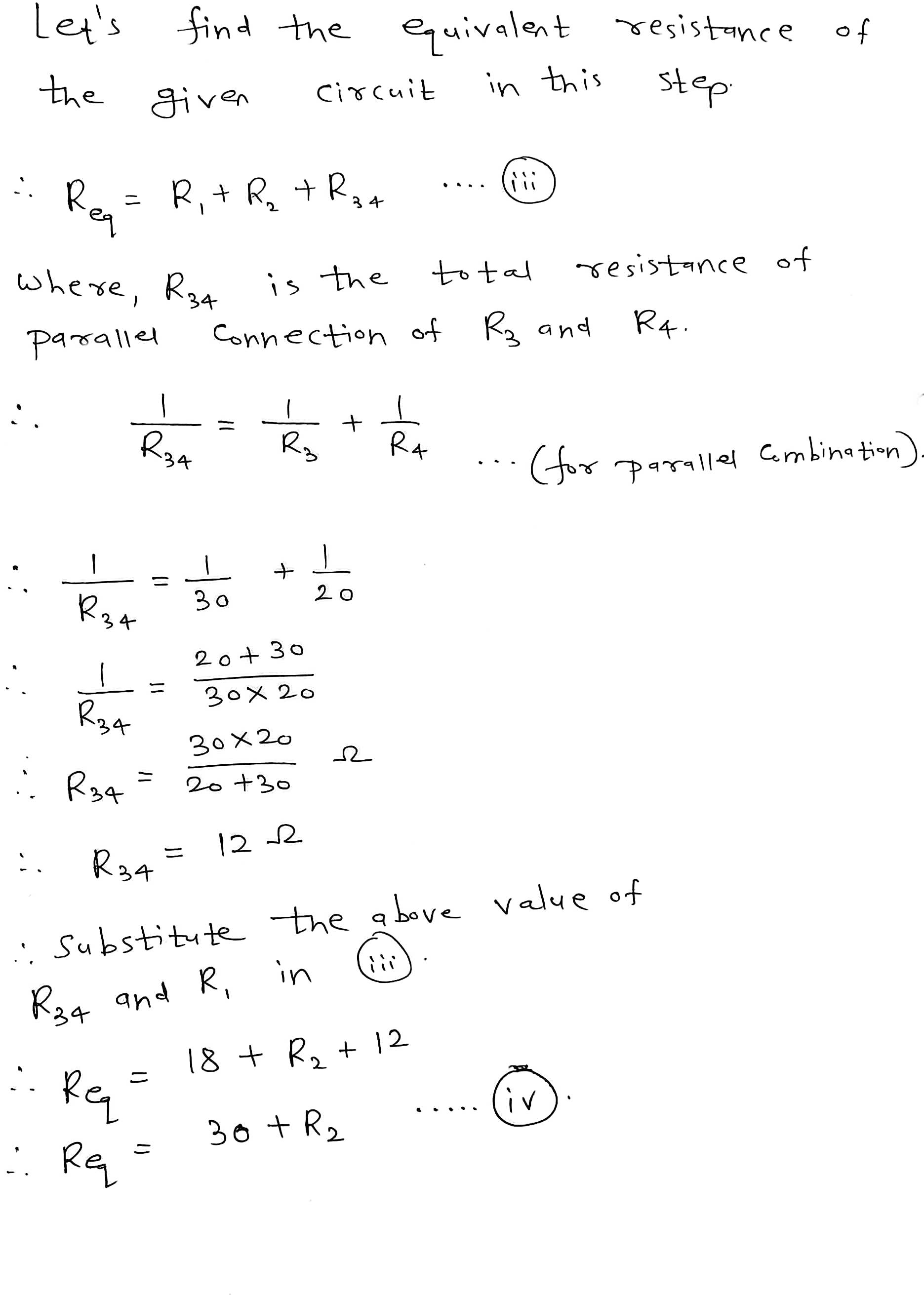
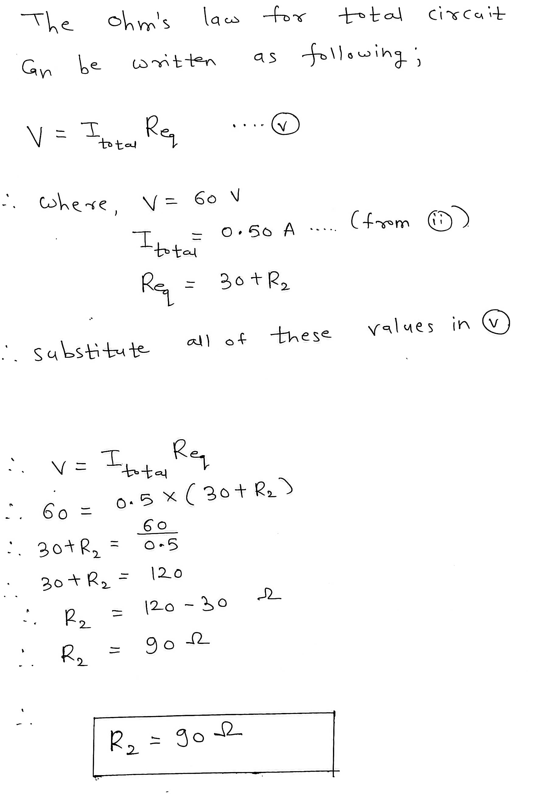
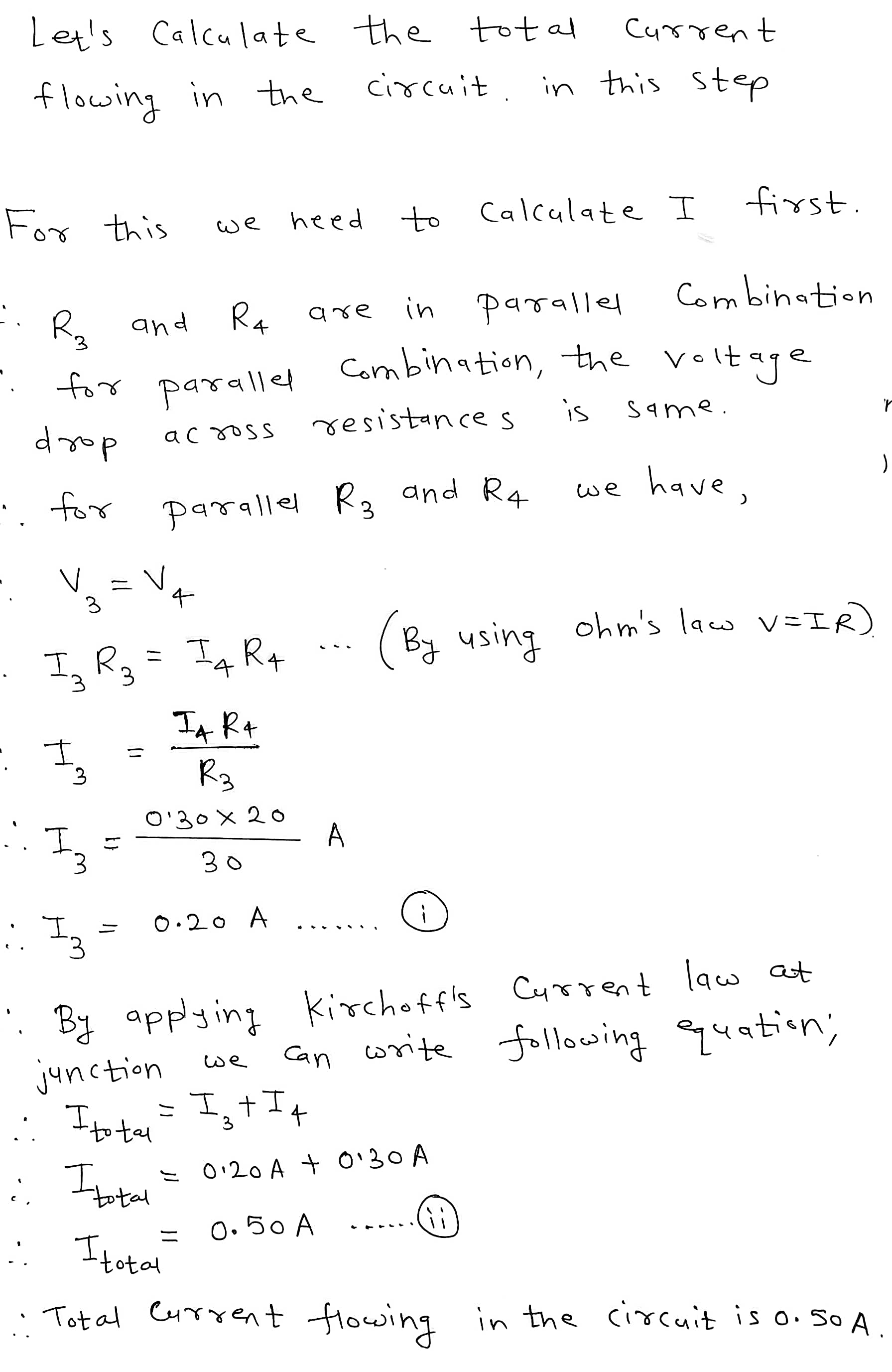
\fLet's draw the proper labelled Circuit diagram first V = 60V -total Itotal R , I , ( Junction ) Is WV N Iz R2 Total voltage applied to the circuit ( V ) = 60 V Total Current flowing through the circuit = Itoty Current flowing through ( RI) = I, Current flowing through ( R 2 ) = I 2 Current flowing Through ( R3) = I3 Current flowing through ( RA) = IA Equivalent resistance of the circuit = Reg R, = 18 R I = 0130 A R, = unknown V. = unknown R2 = 30 1 V , = unknown Rg = 20 2 R2 = unknown.Let's Calculate the total current flowing in the circuit . in this step For this we need to Calculate I first. R, and RX are in parallel Combination for parallel Combination , the voltage drop across resistances is same. for parallel Ry and RA we have , V V w 4 I, Ro= IgRA ... ( By using ohm's law V=IR) I = R3 0'30 X 20 A 30 ". I, = 0.20 A ..... By applying Kirchoff's Current law at junction we can write following equation , Itotal If = 0120 A + 0130 A Itof = 0.50 A... . Total Current flowing in the circuit is o.SoALet's find the equivalent resistance of the given circuit in this step Re = R , + R 2 + Rx+ . . . . Where , Ran is the total resistance of parallel connection of R3 and R4 . = + R3A RX .. ( for parallel Combination) + 20 R 2 30 20+30 30X 20 R34 30 X 20 R3q = 20 + 30 :. Rza = 12 2 . Substitute the above value of Rag and R, in :. Reg= = 18+ Rx+ 12 V :. Reg = 30 + R 2The ohm's law for total circuit Can be written as following; V = I Reg V total ". Where, V = 60 V 0 . 50 A ..... (from (D) ) total Reg = 30 + R2 .. substitute all of these values in (v V= I, Reg total 0 . 5 x ( 30 + R 2 ) 60 :. 30 + R, = 0-5 30 + R, = 120 R = 120- 30 2 R , = go 2 R 2 = go 2The ohm's law for " R 2 Can be Written as follows, V, = I, R2 ..... vi As we Can see from the circuit; the Ry is connected in series with the battery of Gov. therefore the Current flowing through the "R2 is nothing but The total Current of the circuit . :. I = total . . . Vii . Substitute vii in vi V . = Ito R 2 0 . 50 X 90 V :. V = 45 v 2 = 45 VThe ohm's law for R . Can be written as follows; V. = I, RI ..... vini As we Can see from the circuit ; the " R" is Connected in series with the battery of 60 V, therefore the Current flowing through the " R . " is nothing but the total Current of the circuit . :. I = Itotal. IX Substitute ix in Vini Itotal R, V = 0 . 5 0 x 1 8 V V = 9 V V = gV
Step by Step Solution
There are 3 Steps involved in it
Get step-by-step solutions from verified subject matter experts
