Question: fMath 265 Lesson 19 12. F = Vp, ad _ 23- 2xy? => -2x y+ #$= 2'- 2xy >29.2 = 2 2 = 7 8

 \fMath 265 Lesson 19 12. F = Vp, ad _ 23-2xy? => -2x" y+ #$= 2'- 2xy >29.2 = 2 2 =7 8 = 2 2yth(2) Job= xz'- xzy z + yz' +h (2) , az ' ,84 : 3x72 + 242 = 3x2"

+ 2yath'(2) => h'G)=0 => h(7) = |Co = Constant, So :Potential function: | 4 = x2 3 - xzy' + yz2 +Co 3. ds = 1 2' ( +) ldt = 14 sin't+ 4 cos' + 4 de = N8dt = 2NI dt, I=

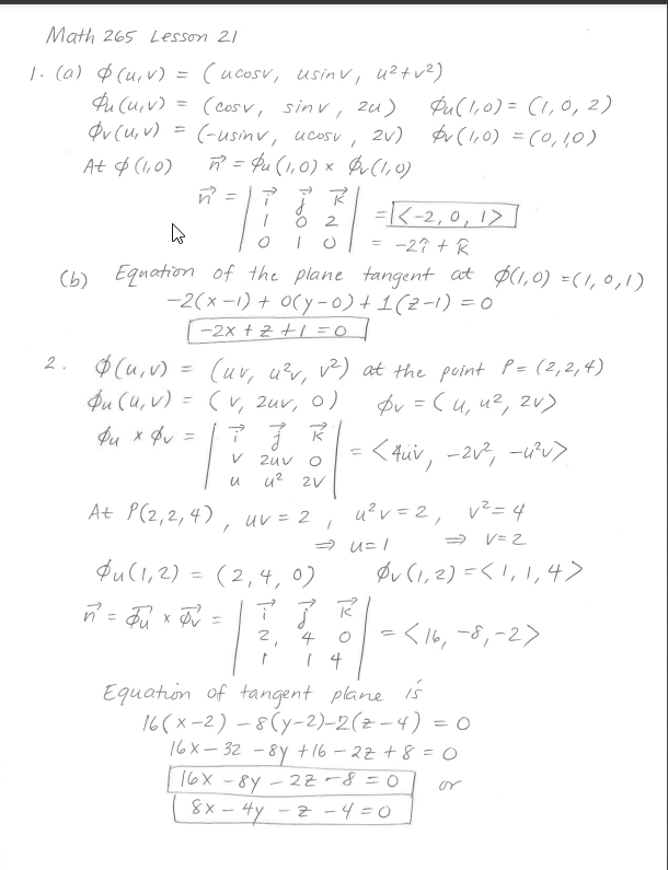
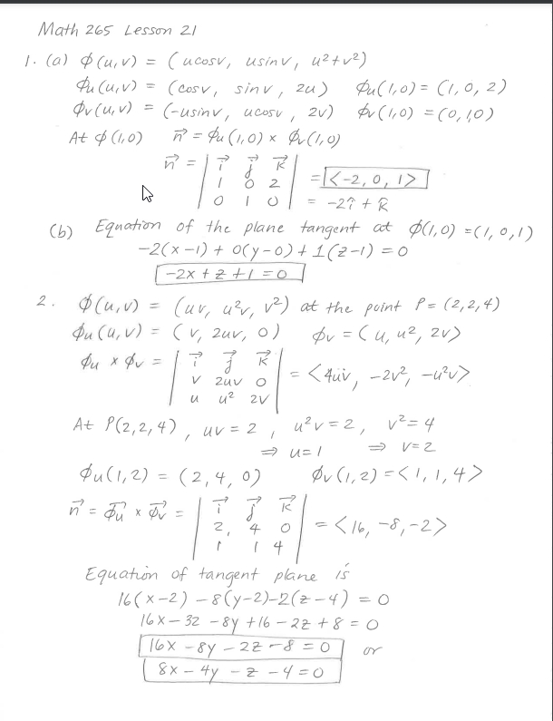
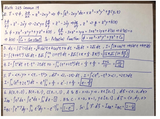
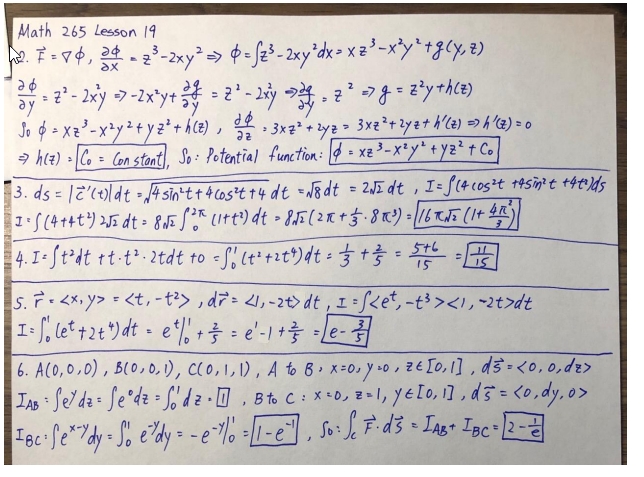
\fMath 265 Lesson 19 12. F = Vp, ad _ 23- 2xy? => -2x" y+ #$= 2'- 2xy >29.2 = 2 2 = 7 8 = 2 2yth(2) Job= xz'- xzy z + yz' + h (2) , az ' ,84 : 3x72 + 242 = 3x2" + 2yath'(2) => h'G)=0 => h(7) = |Co = Constant, So : Potential function: | 4 = x2 3 - xzy' + yz2 + Co 3. ds = 1 2' ( +) ldt = 14 sin't + 4 cos' + 4 de = N8dt = 2NI dt, I= J(4cos't +4sin't +4+:)5 I ' S ( 4 + + t ) ) 2 5 2 dt = 8 2 / ? " (Itt ? ) dt - PFI ( 2 x + 3 . 8 1() = / 16 TUNE ( 1+ 41 4. I = [ t ' dt + t . tz . 2 tdt to = [ ! (t' + 2 + + ) at = 3 + = = 5+6 15 15 5. F = = , di = dt, I = [dt I = So let + 2 + + ) dt = et/!+ ; = e'-1+3 = Le- 31 6 . A ( D, 0 , 0) , B ( 0 , 0 , 1), CCO, 1 , 1), A to B . x = 0 , y = 0 , Z E [o, 1] , d3 = IAB : Se/ da = Se' de = So d z . , B to C : x = D, = = 1, y E To, 1] , 15 = IBC: Se* 7 dy = So eddy = - e- 7 /0 = /1 - ell, so: Je F. d3 = LAB+ IBC= 12 - -Math 265 Lesson 20 10) VXF = / 1 ; K = of + 0j+ k (exty-xe*7 ) * 0 dx dy di ey pxty o so it is not conservative field. b) VXF = 1 i j K = 01 - of + K ( - 2 x sing + 2 x siny ) = 0 ax dy dz 2xCosy -X sing So it is conservative field. D 2. VXF = | K = 1 (xsiz -ycos(yz)) - } lysine + x sin(x 2)) + ok # d dy ay da (05(7) sin(yz) xysine So it is NOT conservative. 3. ( = , . BEDo, TC], di = do F . = , I = SF. di I'M - Cos 0 sin 30 + cos'D sing do = So sinocost( cos'9 - sin @) do= =. since. Los 20 do 4. F = of = of = ( @ ) # 8 x = yz " => f = xyz " + y(y, 2 ) , by $ 9 = - yath(E ) , f = xyzzyz th(2 ), of 1 82 = 2 xyz - yth' (2) = 2xyz- y => h'(2)= 0 -> h(z ) = 60, =f= xyz z - yz+Co potential function, Co Is constant. [ # F . di = f (Q) - f (p) = f ( 3,2, 1) - f (1, 2,3) = (6-2)-(18-6) = 4-12:1-8 5. Since V XF = D, So F is conserved and hence exists , such that F = VP. 29 : 27 (Ax + Z z lny + h'(2) = 12 In(xy) => h'(=>= 0> Alz)= Co= constant, so we have 7= 2 2 [n (xy) +Co), since the path is closed, P - Q DROP, So I = SF. d's = IPQ + IQR + IRP = ( $LQ) - Q(PJ) + ($CR) - PCR)) + ( $ (p) - $ CR))= 101 6. Let f = VQ, sof is conserved, so ST. di + SF. dr= 0 PAQ QBP we are given that ff dr=1, so s I- di= -1= - [I.dr = Sule. dr = 1 PAR QBP PBQ bottom halfMath 265 Lesson 21 1. ( a) $ cuiv) = ( ucost, usinv, 42 + v2 ) fu (liv ) = ( cosv , sinv , 24 ) Pull,o ) = ( 1, 0, 2 ) Pv ( u,v ) = (- usinv, ucost, 2V ) For ( 1 10) = (0, 10 ) At of ( 1,0 ) 7 = PU ( 1, 0) x PV ( 1, 0) W = K 2 = 1 = -27 + R (b) Equation of the plane tangent at $ (1, 0) = ( 1, 0, 1 ) -2 ( x - 1 ) + 0(y - 0)+1( 2-1) = 0 - 2x + 2 + / = 0 / 2. $ ( u, V ) = ( ur, uvv, v2 ) at the point P= ( 2, 2, 4 ) Du (u, V ) = ( v, zur, 0) pv = ( 4, 4 2, 2v) Du x Qv = V zuV O = U2 2V At P (2 , 2 , 4 ), UV = 2 , 4 2 v = 2, V2 = 4 3 V= 2 Pull, 2 ) = ( 2, 4, 0 ) Ov ( 1 , 2 ) = n' = dy x DV = 4 O = 4 Equation of tangent plane is 16 ( x - 2 ) - 8 ( y-2)-2(2 -4) = 0 16 X - 32 - 8y + 16 - 22+8 = 0 16X - 8y - 22 - 8 = 0 8 x - 4y - 2 - 4=0

Step by Step Solution

There are 3 Steps involved in it

1 Expert Approved Answer
Step: 1 Unlock blur-text-image
Question Has Been Solved by an Expert!

Get step-by-step solutions from verified subject matter experts

Step: 2 Unlock
Step: 3 Unlock

Students Have Also Explored These Related Mathematics Questions!