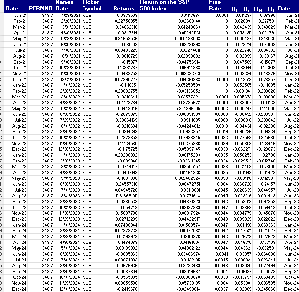
Question: For 2 0 2 4 , 2 0 2 3 please calculate beta equity and beta assets using the data provided Estimated Equity Beta Unlevered
For please calculate beta equity and beta assets using the data provided Estimated Equity Beta
Unlevered Asset Beta
Step by Step Solution
There are 3 Steps involved in it
1 Expert Approved Answer
Step: 1 Unlock
Question Has Been Solved by an Expert!
Get step-by-step solutions from verified subject matter experts
Step: 2 Unlock
Step: 3 Unlock
