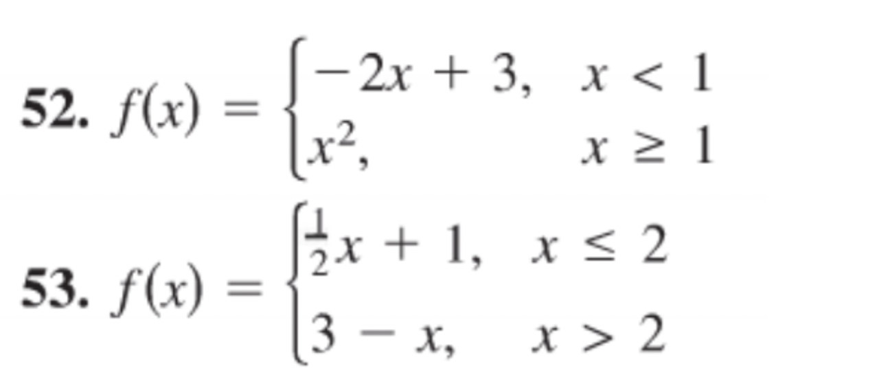
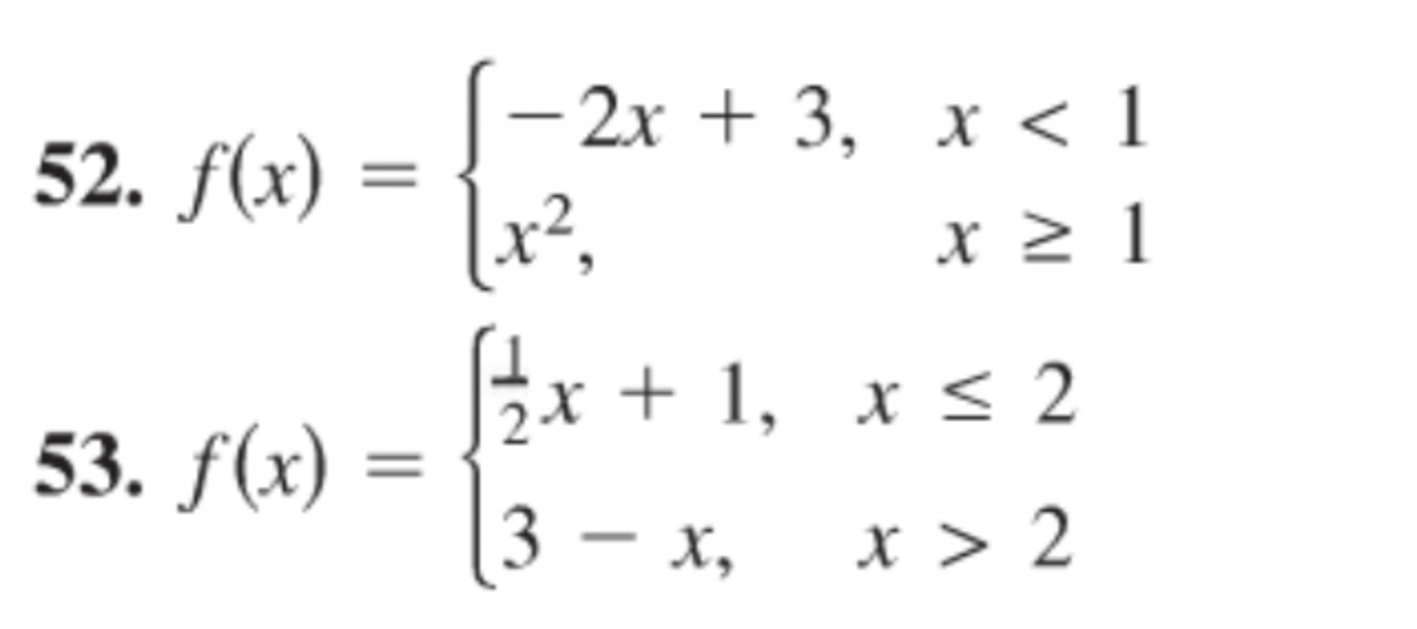
Question: For #52, use the 3 step continuity test to see if the equation is continuous at x = 1. For #53, use the 3 step


For #52, use the 3 step continuity test to see if the equation is continuous at x = 1.
For #53, use the 3 step continuity test to see if the equation is continuous at x = 2.


\fMaking a Function Continuous In Exercises 61-66, find the constant a, or the constants a and b, such that the function is continuous on the entire real number line. 3x2 x21 61. f(x) = ax - 4, x
Step by Step Solution
There are 3 Steps involved in it
Get step-by-step solutions from verified subject matter experts
