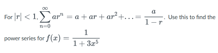
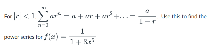
Question: For |7 For < l' E power series for f = a . Use this to find the 1 I + 3c5


For |7
For < l' E power series for f = a . Use this to find the 1 I + 3c5
Step by Step Solution
There are 3 Steps involved in it
Get step-by-step solutions from verified subject matter experts
