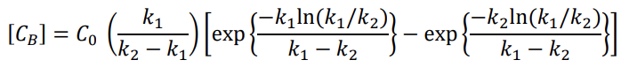
Question: for a consecutive reaction, derive the equation for the maximum concentration of B answer: please show how the maximum concentration was simplified from this, to
for a consecutive reaction, 
derive the equation for the maximum concentration of B
answer:
please show how the maximum concentration was simplified from this, 
to this ![to this Ak1Bk2C [CB]=C0(k2k1k1)[exp{k1k2k1ln(k1/k2)}exp{k1k2k2ln(k1/k2)}] CCA=G0(15ek1t)](https://dsd5zvtm8ll6.cloudfront.net/si.experts.images/questions/2024/09/66f8e74971166_16966f8e749265ef.jpg)
Ak1Bk2C [CB]=C0(k2k1k1)[exp{k1k2k1ln(k1/k2)}exp{k1k2k2ln(k1/k2)}] CCA=G0(15ek1t)
Step by Step Solution
There are 3 Steps involved in it
Get step-by-step solutions from verified subject matter experts
