Question: For all questions that require you to use a two-sample t -test, always use the non-pooled procedure (that is, the procedure that assumes population standard






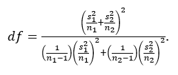
For all questions that require you to use a two-sample t-test, always use the non-pooled procedure (that is, the procedure that assumes population standard deviations are not equal). Further, when using the non-pooled procedure, use the following formula to calculate the degrees of freedom and SHOW ALL THE STEPS







Male Female Male Female 13 130 39 33 10 14 8 20 3 138 13 68 18 11 122 78 69 111 3 Mean X1 = 37.6 X2 = 55.8 38 23 60 9 128 31 18 35 111 59 5 86 22 70 109 36 27 32 35 SD S1 = 38.49 S2 = 48.26 58 3 167 15 30 12 27 8 3 80 8 20 67 26 19 91 68 66 176 15Northeast Midwest South West 1005 870 891 1025 898 748 630 1012 948 699 861 1090 1181 814 1036 926 1244 721 1269 6062 S NN + n1 n12 df = 2 2 1 1 S + n1-1 71 n2-1 712
Step by Step Solution
There are 3 Steps involved in it
Get step-by-step solutions from verified subject matter experts
