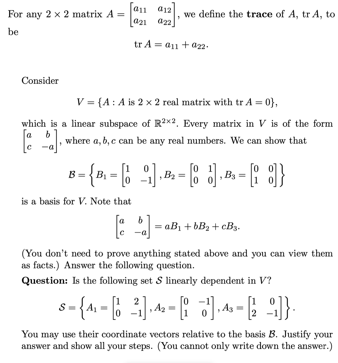
Question: For any 2 x 2 matrix A = a12 we define the trace of A, tr A, to a21 a 22 be tr A =

Step by Step Solution
There are 3 Steps involved in it
1 Expert Approved Answer
Step: 1 Unlock
Question Has Been Solved by an Expert!
Get step-by-step solutions from verified subject matter experts
Step: 2 Unlock
Step: 3 Unlock
