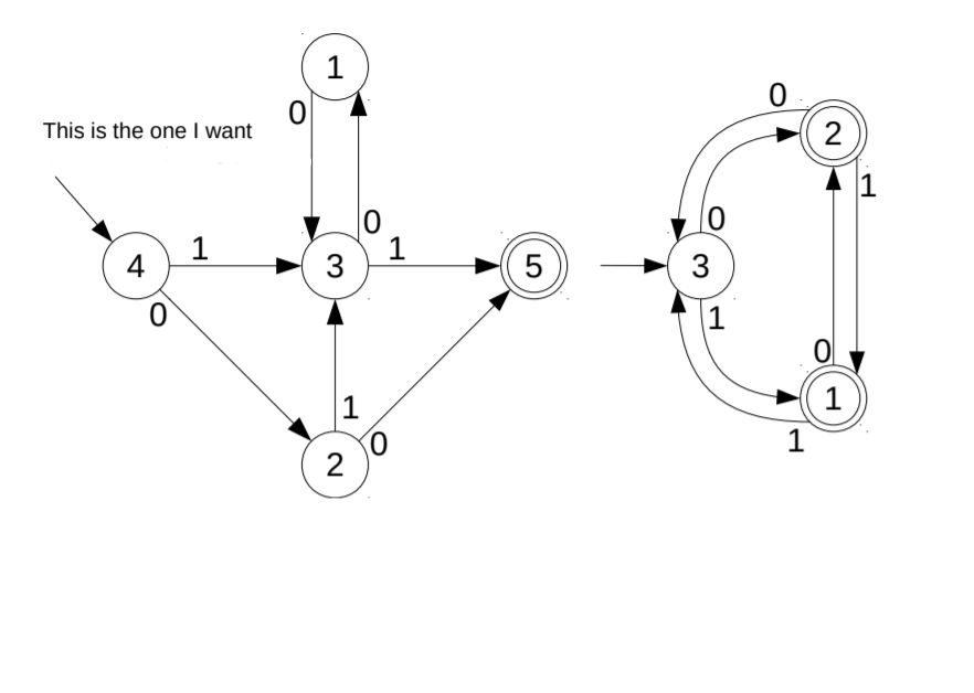
Question: For each finite automaton, construct an equivalent regular expression, please delete states in increasing numerical order. You must show your intermediate steps. This is the
For each finite automaton, construct an equivalent regular expression, please delete states in increasing numerical order. You must show your intermediate steps.

This is the one I want
Step by Step Solution
There are 3 Steps involved in it
Get step-by-step solutions from verified subject matter experts
