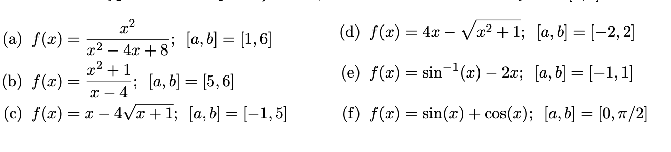
Question: For each part, you r e given a function f ( x ) and a closed interval [ a , b ] . First, find
For each part, you given a function and a closed interval First, find all critical points over its entire domain, and not just over there are two types critical points Then, find the extreme values over
;
;
;
;
;
;
Step by Step Solution
There are 3 Steps involved in it
1 Expert Approved Answer
Step: 1 Unlock
Question Has Been Solved by an Expert!
Get step-by-step solutions from verified subject matter experts
Step: 2 Unlock
Step: 3 Unlock
