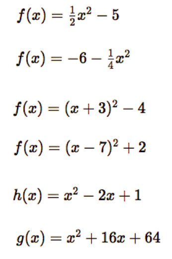
Question: For each problem, include the following information: Vertex? Direction: Does the parabola open up or down? Minimum or maximum value?: Is the vertex a minimum
For each problem, include the following information:
Vertex?
Direction: Does the parabola open up or down?
Minimum or maximum value?: Is the vertex a minimum or maximum value?
Domain?
Range?
Where it is increasing?
Where it is decreasing

\f
Step by Step Solution
There are 3 Steps involved in it
Get step-by-step solutions from verified subject matter experts
