Question: For item no. 5, please provide a solution and brief explanation. Thank you. My answer to 5.1 was 730, 5.3 -> 922.5 and for 5.4

For item no. 5, please provide a solution and brief explanation. Thank you.
My answer to 5.1 was 730, 5.3 -> 922.5 and for 5.4 -> 107. I doubt my answer, please help me to understand this one. For fill in the blanks items, just enumerate the answer. Thank you.

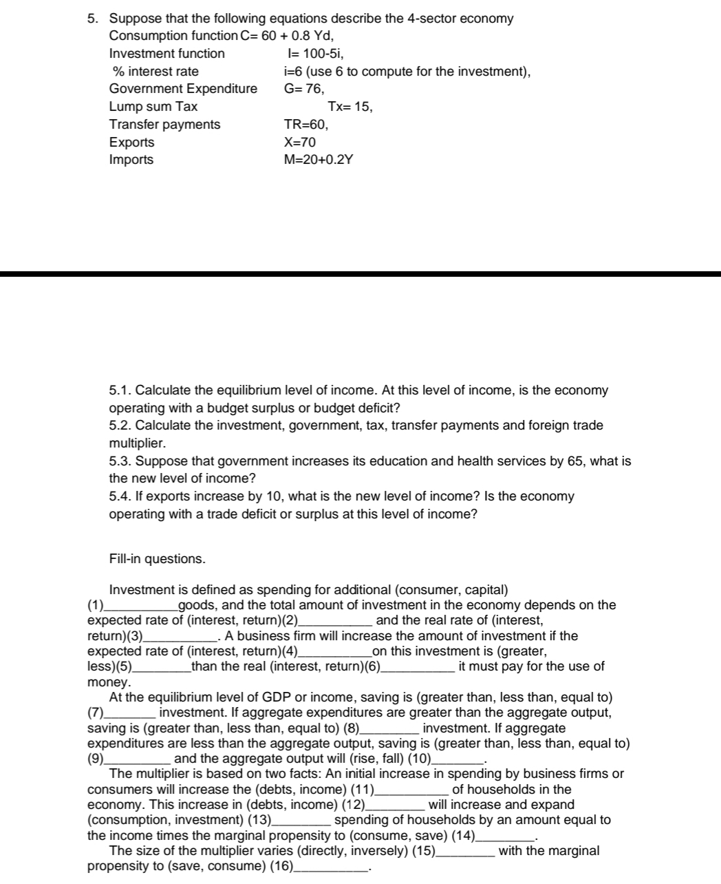
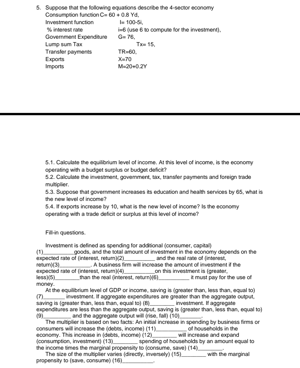
5. Suppose that the following equations describe the 4-sector economy Consumption function C= 60 + 0.8 Yd, Investment function I= 100-51, % interest rate i=6 (use 6 to compute for the investment), Government Expenditure G= 76 Lump sum Tax TX=15, Transfer payments TR=60, Exports X=70 Imports M=20+0.2Y 5.1. Calculate the equilibrium level of income. At this level of income, is the economy operating with a budget surplus or budget deficit? 5.2. Calculate the investment, government, tax, transfer payments and foreign trade multiplier. 5.3. Suppose that government increases its education and health services by 65, what is the new level of income? 5.4. If exports increase by 10, what is the new level of income? Is the economy operating with a trade deficit or surplus at this level of income? Fill-in questions. Investment is defined as spending for additional (consumer, capital) (1) goods, and the total amount of investment in the economy depends on the expected rate of (interest, return)(2) and the real rate of (interest, return) (3)_ A business firm will increase the amount of investment if the expected rate of (interest, return)(4) on this investment is (greater, less)(5) than the real (interest, return)(6) it must pay for the use of money. At the equilibrium level of GDP or income, saving is (greater than, less than, equal to) (7). investment. If aggregate expenditures are greater than the aggregate output, saving is (greater than, less than, equal to) (8)_ investment. If aggregate expenditures are less than the aggregate output, saving is (greater than, less than, equal to) (9). and the aggregate output will (rise, fall) (10). The multiplier is based on two facts: An initial increase in spending by business firms or consumers will increase the (debts, income) (11) of households in the economy. This increase in (debts, income) (12)_ will increase and expand (consumption, investment) (13) spending of households by an amount equal to the income times the marginal propensity to (consume, save) (14). The size of the multiplier varies (directly, inversely) (15). with the marginal propensity to (save, consume) (16)
Step by Step Solution
There are 3 Steps involved in it
Get step-by-step solutions from verified subject matter experts
