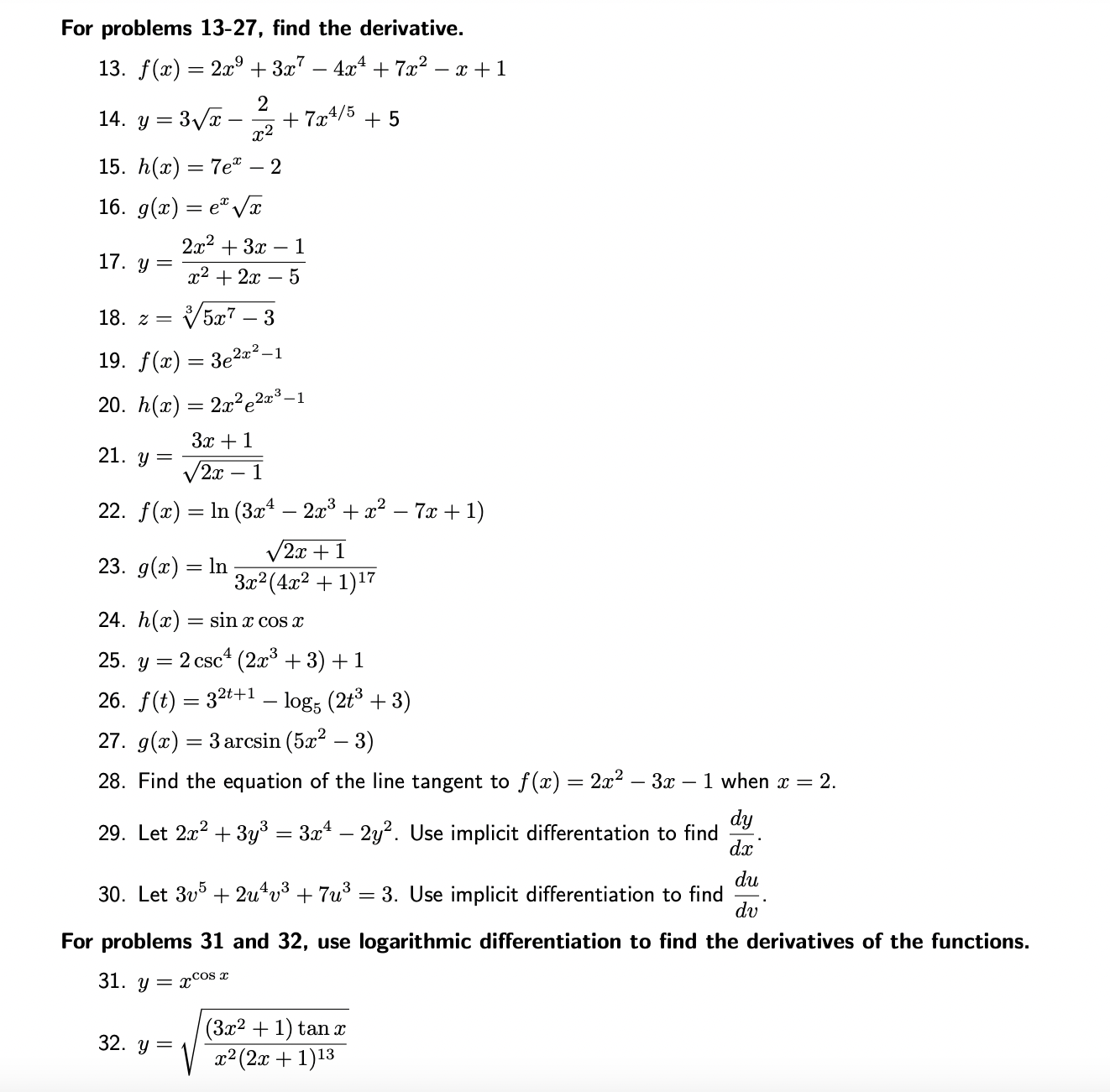
Question: For problems 1 3 - 2 7 , find the derivative. f ( x ) = 2 x 9 + 3 x 7 - 4
For problems find the derivative.
Find the equation the line tangent when
Let Use implicit differentation find
Let Use implicit differentiation find
For problems and use logarithmic differentiation find the derivatives the functions.
Step by Step Solution
There are 3 Steps involved in it
1 Expert Approved Answer
Step: 1 Unlock
Question Has Been Solved by an Expert!
Get step-by-step solutions from verified subject matter experts
Step: 2 Unlock
Step: 3 Unlock
